- 不等式恒成立问题
- 共107题
1
题型:填空题
|
13.已知函数





正确答案
解析
解析已在路上飞奔,马上就到!
知识点
不等式恒成立问题
1
题型:简答题
|
15.设






正确答案
P真:

解析
解析已在路上飞奔,马上就到!
知识点
命题的真假判断与应用对数函数的单调性与特殊点不等式恒成立问题
1
题型:简答题
|
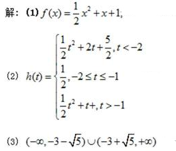
18. 设二次函数



(1)求
(2)若


(3)若不等式


正确答案
解析
解析已在路上飞奔,马上就到!
知识点
函数解析式的求解及常用方法二次函数在闭区间上的最值不等式恒成立问题
1
题型:填空题
|
11.在R上定义运算△:x△y=x(1 -y) 若不等式(x-a)△(x+a)<1,对任意实数x恒成立,则实数a的取值范围是( ) 。
正确答案
解析
解析已在路上飞奔,马上就到!
知识点
不等式恒成立问题
1
题型:填空题
|
11.若不等式


正确答案
解析
解析已在路上飞奔,马上就到!
知识点
不等式恒成立问题
下一知识点 : 分式不等式的解法
扫码查看完整答案与解析




