- 有机物的结构和性质
- 共236题
1
题型:简答题
|
30.已知:
有机物A ~F中,A是链烃,A与H2加成得到烷烃,经测定,该烷烃分子中只有两个—CH3,其一卤代物有两种同分异构体,C与X反应生成D。各物质之是的转化关系如下图所示:
(1)写出X的名称:( )。
(2)写出化合物A、E的结构简式:A( ),E( ) 。
(3)指出下列反应的类型:C→D( ),E→F( )。
(4)写出B与足量新制氢氧化铜悬浊液共热时发生反应的化学方程式:( ) 。
(5)有机物G是有机物C不同类型的同分异构体,并且G能与金属钠发生反应放出无色气体,又能发生银镜反应;又知G的同一类型的同分异构体共有多种,则其中只含有一个甲基的同分异构体的结构简式有( ) 、( ) 。(任写两种)
正确答案
解析
解析已在路上飞奔,马上就到!
知识点
有机物的结构和性质
1
题型:
单选题
|
9.迷迭香酸是从蜂花属植物中提取得到的酸性物质,其结构如下图。下列叙述正确的是( )
正确答案
C
解析
解析已在路上飞奔,马上就到!
知识点
有机物的结构和性质
1
题型:
单选题
|
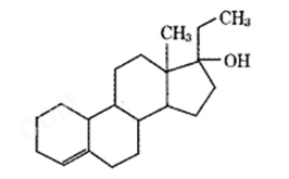
9.已知某兴奋剂乙基雌烯醇(etylestrenol)的结构如下图所示。下列叙述中正确的是( )
正确答案
C
解析
解析已在路上飞奔,马上就到!
知识点
有机物的结构和性质
1
题型:
单选题
|
11.芥子醇是一种合成工程纤维的单体,结构简式如图。有关芥子醇的说法中正确的是( )
正确答案
C
解析
解析已在路上飞奔,马上就到!
知识点
有机物的结构和性质
1
题型:
单选题
|
12.己烯雌酚是一种激素类药物,结构如下,下列有关叙述中正确的是( )
正确答案
C
解析
解析已在路上飞奔,马上就到!
知识点
有机物的结构和性质
已完结
扫码查看完整答案与解析









