- 晶体和非晶体
- 共25题
33.请从给出的3道物理题中任选一题作答,如果多做,则按所做的第一题计分。
1.【物理——选修3-3】
(1)下列说法中正确的是____(填正确答案标号。选对1个得2分,选对个得4分,选对3个得5分;每选错1个扣3分,最低得分为0分)。
A.布朗运动就是液体分子的无规则运动
B.晶体有确定的熔点,非晶体没有确定的熔点
C.热量不可能从低温物体传到高温物体
D.物体的体积增大,分子势能不一定增加
E一定质量的理想气体,如果压强不变,体积增大,那么它一定从外界吸热
(2)如图所示,两端等高、粗细均匀、导热良好的
U形管竖直放置,右端与大气相通,左端用水银柱封闭着长的气柱(可视为理想气体),左管的水银面 比右管的水银面高出。现从右端管口缓慢注入水银,稳定后右管水银面与管口等高。若环境温度不变,取大气压强。求稳定后加入管中水银柱的长度。
2.【物理——选修3-4】
(1)如图所示为一列简谐横波在t-0时刻的图象。此时质点P的运动方向沿y轴负方向,且从t=0时刻开始计,当t=0.55s时质点P恰好第3次到达y轴正方向最大位移处。则下列说法正确的是____(填正确答案标号。选对1个得2分,选对2个得4分,选对3个得5分:每选错1个扣3分,最低得分为9分)
A.该简谐波沿x轴负方向传播
B.该简谐波的频率为5Hz
C.该简谐波的波速大小为4m/s
D.从t=0至t=0.1s,质点P传播的距离为2m
E.从t=0至t=0.1s,质点Q运动的路程是1.Om
3.【物理-选修3-5】
(1)关于光的波粒二象性,下列说法中正确的是____(填正确答案标号。选对1
个得2分,选对2个得4分,选对3个得5分;每选错1个扣3分,最低得分为O分)
A.个别光子的行为表现出粒子性,大量光子的行为表现出波动性
B.光的波动性是光子本身的一种属性,不是光子之间的相互作用引起的
C.光电效应揭示了光的粒子性,而康普顿效应则反映了光的波动性
D.频率越高的光其粒子性越显著,频率越低的光其波动性越显著
E.光表现出波动性时,就不具有粒子性,光表现出粒子性时,就不再具有波动性
(2)如图所示,上下表面均光滑的质量为M= 3kg的滑板B静止放在光滑水平面上,其右端固定一根轻质弹簧,质量为m=2 kg的小木块A,以速度由滑板B左端开始沿滑扳B上表面向右运动。求:
I.弹簧被压缩到最短时木块A的速度大小;
II.木块A离开滑板B时A、B的速度大小。
正确答案
正确答案
正确答案
20.晶须是一种发展中的高强度材料,它是一些非常细的、非常完整的丝状(横截面为圆形)晶体。现有一根铁质晶须,直径为d,用大小为F的力恰好将它拉断,断面呈垂直于轴线的圆形。已知铁的密度为ρ,铁的摩尔质量为M,阿伏加德罗常数为NA,则拉断过程中相邻铁原子之间的相互作用力是( )
正确答案
解析
解析已在路上飞奔,马上就到!
知识点
33.【物理—物理3-3】
(1)下列说法中正确的有________。(填入正确选项前的字母)
A.第二类永动机和第一类永动机一样,都违背了能量守恒定律
B.自然界中的能量虽然是守恒的,但有的能量便于利用,有的不便于利用,故要节约能源
C.若气体的温度随时间不断升高,其压强也一定不断增大
D.晶体都具有固定的熔点
(2)如图所示,用销钉固定的导热活塞把水平放置的导热气缸分隔成容积相同的两部分,分别封闭着A、B两部分理想气体。A部分气体压强为

①求此时A、B两部分体积之比:
②判断此过程中4部分气体是吸热还是放热,并简述理由。
正确答案
(1)BD
(2)
解析
解析已在路上飞奔,马上就到!
知识点
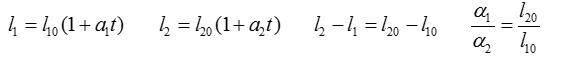
24. 金属棒在温度升高,其长度也会增长,我们把温度升高1℃所引起长度的增加与它在0℃时长度之比称为线膨胀系数α。那么,金属棒t℃时的长度l1与其在0℃的长度



正确答案
解析
解析已在路上飞奔,马上就到!
知识点
请考生从给出的3道物理题、3道化学题、2道生物题中每科任选一题做答。
33.[物理一选修3-3](15分)
(1)(6分)下列说法正确的是( )(填入正确选项前的字母,选对1个给3分,选对2个给4分,选对3个给6分,每选错1个扣3分,最低得分为0分)。
A.液体表面张力产生的原因是:液体表面层分子较密集,分子间引力大于斥力
B.晶体有一定的熔化温度,非晶体没有一定的熔化温度
C.扩散现象和布朗运动的剧烈程度都与温度有关,但扩散现象和布朗运动并不是热运动
D.第二类永动机不可能制成是因为它违反了能量守恒定律
E.两个分子从很远处逐渐靠近,直到不能再靠近为止的过程中,分子间相互作用的合力先变大后变小,再变大
(2)(9分)今有一质量为M的气缸,用质量为m的活塞封有一定质量的理想气体,当气缸水平横放时,空气柱长为L0(如图甲所示),着将气缸按如图乙悬挂保持静止时,求气柱长度为多少?已知大气压强为P0,活塞韵横截面积为S,它与气缸之间无摩擦且不漏气,且气体温度保持不变.
(2)(9分)一列简谐横波沿直线传播,在波的传播方向上有P-Q两个质点,它们相距0.8m,当 t=0时,P、Q两点位移恰好都是正的最大值,且P、Q间只有一个波谷。当t=0.6s时,P、Q两点正好都处于平衡位置,且P、Q两点间第一次出现一个波峰和一个波谷,此时波峰与Q点平衡位置间的距离为0.2m,试求:
①若波由P传到Q,波的周期;
②若波由Q传到P,波的速度;
③若波由Q传到P,从t=0时开始观察、哪些时刻P、Q间(P、Q除外,)只有一个质点的位移大小等于振幅。
35.[物理一选修3-5](15分)
(1)(6分)下列说法中正确的是( ).(填入正确选项前的字母。选对一个给3分,选对两个给4分,选对3个给6分:每选错一个扣3分,最低得分为0分)
(2)(9分)如图所示,在光滑水平面上,质量为m的小球B连接着一个轻质弹簧,弹簧与小球 均处于静止状态.质量为2m的小球A以大小为v0的水平速度向右运动,接触弹簧后逐渐压缩弹簧并使B运动,经过一段时间,A与弹簧分离.
(1)当弹簧压缩至最短时,弹簧的弹性势能Ep为多大?
(2)若开始时,在B球的右侧某位置固定一块挡板,在A与弹簧未分离前使B球与挡板发生碰撞,并在碰撞后立即将挡板撤走.设B球与挡板碰撞时间极短,碰后B球的速度大小不变,但方向与原来相反.欲使此后弹簧被压缩到最短时弹簧的弹性势能能达到第(1)问中Ep的3倍,必须使两球在速度达到多大时与挡板发生碰撞?
33.[物理一选修3-3](15分)
(1)(6分)下列说法正确的是 (填入正确选项前的字母,选对1个给3分,选对2个给4分,选对3个给6分,每选错1个扣3分,最低得分为0分)。

(1)(6分)如图所示,AOB是由某种透明物质制成的

(2)(9分)一列简谐横波沿直线传播,在波的传播方向上有P-Q两个质点,它们相距0.8m,当 t=0时,P、Q两点位移恰好都是正的最大值,且P、Q间只有一个波谷。当t=0.6s时,P、Q两点正好都处于平衡位置,且P、Q两点间第一次出现一个波峰和一个波谷,此时波峰与Q点平衡位置间的距离为0.2m,试求:
①若波由P传到Q,波的周期;
②若波由Q传到P,波的速度;
③若波由Q传到P,从t=0时开始观察、哪些时刻P、Q间(P、Q除外,)只有一个质点的位移大小等于振幅。35.[物理一选修3-5](15分)
(1)(6分)下列说法中正确的是 .(填入正确选项前的字母。选对一个给3分,选对两个给4分,选对3个给6分:每选错一个扣3分,最低得分为0分)
正确答案
正确答案
扫码查看完整答案与解析























