- 轨迹方程的问题
- 共36题
15.设直线y=x+2a与圆C:x2+y2-2ay-2=0相交于A,B两点,若
正确答案
解析
考查方向
解题思路
如圆的半径r、弦长l、圆心到弦的距离d之间的关系:
易错点
记忆求圆心坐标、半径、弦长时常用圆的几何性质
知识点
7.已知圆M:



正确答案
解析
圆M:
方法一:圆心








方法二:直线


考查方向
解题思路
先根据直线与圆相交求得圆的方程,然后根据圆心距的关系判断两圆的位置关系。
易错点
直线与圆的位置关系中点线距,圆与圆的关系中点点距。
知识点
7.在矩形ABCD中,AB=2,AD=3,如果向该矩形内随机投一点P,那么使得△ABP与△ADP的面积都不小于1的概率为( )
正确答案
解析
解析已在路上飞奔,马上就到!
知识点
8.设


正确答案
解析
因为

由给出的图可知对称轴在

所以二次函数的图象为第三个图,图象过原点,
故


知识点
6.

正确答案
解析
解析已在路上飞奔,马上就到!
知识点
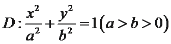
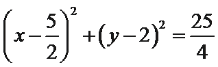
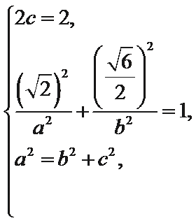
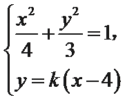
20.如图,已知











(1)求圆

(2)若过点






正确答案
(1)圆的方程为:

(2)略。
解析
(1)设圆的半径为

∵



令



由



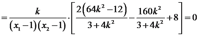
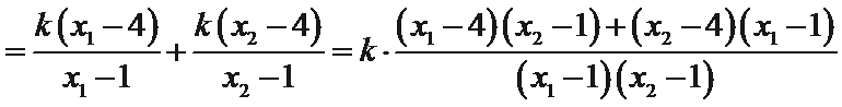
(2)设直线



设

∵

所以
当



∴直线

考查方向
解题思路
1、第(1)问根据圆以及椭圆的标准方程,建立方程组,通过待定系数的方法即可求解;
2、第(2)问可以通过直线与椭圆的位置关系建立方程组,利用韦达定理求解;
易错点
本题容易因为对圆以及椭圆的相关性质掌握不清楚而导致不会做。
知识点
扫码查看完整答案与解析














