- 有机物的合成
- 共38题
26.芳香族羧酸通常用芳香烃的氧化来制备。芳香烃的苯环比较稳定,难于氧化,而环上的支链不论长短,在强烈氧化时,最终都氧化成羧基。某同学用甲苯的氧化反应制备苯甲酸。
反应原理:
反应试剂、产物的物理常数:
主要实验装置和流程如下:
实验方法:一定量的甲苯和KMnO4溶液置于图1装置中,在90℃时, 反应一段时间,再停止反应,按如下流程分离出苯甲酸和回收未反应的甲苯。
(1)无色液体A的结构简式为( )。操作Ⅱ为( )。
(2)如果滤液呈紫色,要先加亚硫酸氢钾,然后再加入浓盐酸酸化,加亚硫酸氢钾的目的是( )。
(3)下列关于仪器的组装或者使用正确的是( )。
A.抽滤可以加快过滤速度,得到较干燥的沉淀
B.安装电动搅拌器时,搅拌器下端不能与三颈烧瓶底、温度计等接触
C.图1回流搅拌装置应采用直接加热的方法
D.冷凝管中水的流向是下进上出
(4)除去残留在苯甲酸中的甲苯应先加入( ),分液,水层再加入( ),然后抽滤,干燥即可得到苯甲酸。
(5)纯度测定:称取1.220g产品,配成100mL溶液,取其中25.00mL溶液,进行滴定 ,消耗KOH物质的量为
正确答案
(1)
(2)除去未反应的高锰酸钾氧化剂,否则用盐酸酸化时会发生盐酸被高锰酸钾所氧化,产生氯气;
(3)ABD;漏选得一分,错选不得分
(4) NaOH溶液 浓盐酸酸化
(5) 96%
解析
解析已在路上飞奔,马上就到!
知识点
题:α-苯基丙烯酸可用于合成人造龙涎香,现以甲苯为原料,按下列方法合成(从F开始有两条合成路线)
已知:①
完成下列填空:
50.写出D的结构简式
51.写出反应类型:反应④
52.写出反应所需要试剂与条件:反应① 反应②
53.写出一种满足下列条件的D的同分异构体的结构简式 (1)能发生银镜反应(2)能与FeCl3溶液发生显色反应(3)分子中有5种不同化学环境的氢原子
54.检验E是否完全转化为F的方法是
55.路线二与路线一相比不太理想,理由是
56.利用已知条件,设计一条由

(合成路线的表示方法为:
正确答案
解析
根据E知,C7H8为 



,D发生取代反应生成E,E发生还原反应生成F,F发生水解反应生成H,F发生消去反应生成G,G发生水解反应生成α-苯基丙烯酸,H发生消去反应生成α-苯基丙烯酸
考查方向
本题考查有机合成和结构简式的推断
解题思路
根据E知,C7H8为 



,D发生取代反应生成E,E发生还原反应生成F,F发生水解反应生成H,F发生消去反应生成G,G发生水解反应生成α-苯基丙烯酸,H发生消去反应生成α-苯基丙烯酸
易错点
充分利用信息①②,结合合成线路中的反应条件进行官能团的转化分析
教师点评
本题考查有机合成和结构简式的推断,是高考中的必考题目,题目难度中等
正确答案
还原(写加成也可)
解析
E到F的官能团变化是醛基转变为醇羟基,属于还原反应或加成反应
考查方向
本题考查有机反应类型
解题思路
E到F的官能团变化是醛基转变为醇羟基
易错点
根据官能团的变化来分析反应,由醛基转变为醇羟基属于加氢的还原反应,也是加成反应
教师点评
本题考查有机反应类型,属于高考常考题型,常结合合成流程考查,题目难度中等
正确答案
液溴 光照(共1分);乙醇 浓硫酸 加热(共1分)
解析
①为芳香烃侧链烃基上的取代反应,反应所需要试剂与条件为液溴、光照;②为羧基转化为酯基的酯化反应,反应所需要试剂与条件为乙醇、浓硫酸、加热
考查方向
本题考查有机化学反应的试剂及条件
解题思路
①为芳香烃侧链烃基上的取代反应;②为羧基转化为酯基的酯化反应
易错点
苯环侧链烃基上的卤代反应条件是光照,而苯环上的卤代反应条件是用铁作催化剂
教师点评
本题考查有机化学反应的试剂及条件,属于高考常考内容,题目难度中等
正确答案
解析
D的结构简式为 
①能发生银镜反应,说明含有醛基;
②能与FeCl3溶液发生显色反应,说明含有酚羟基;
③分子中有5种不同化学环境的氢原子,
则符合条件的D的同分异构体结构简式为
考查方向
本题考查同分异构体的书写
解题思路
能发生银镜反应,说明含有醛基;能与FeCl3溶液发生显色反应,说明含有酚羟基
易错点
同分异构体的书写方法
教师点评
本题考查同分异构体的书写,属于高考的必考内容,题目难度较大,近几年高考中的考查方式:一是按照限定条件书写同分异构体的结构式,再就是是填写某种结构的同分异构体的种数。
正确答案
取样,加入新制氢氧化铜,加热无砖红色沉淀出现,说明E已完全转化为F
解析
E中含有醛基、F中不含醛基,可以用新制氢氧化铜悬浊液检验醛基,检验E是否完全转化为F的方法是取样,加入新制氢氧化铜,加热无砖红色沉淀出现,说明E已完全转化为F
考查方向
本题考查醛基的检验操作
解题思路
E中含有醛基、F中不含醛基,可以用新制氢氧化铜悬浊液检验醛基
易错点
操作题学生易漏答取样操作
教师点评
本题考查醛基的检验操作,属于重要官能团的检验,题目难度不大
正确答案
H既有羟基又有羧基,
解析
路线二与路线一相比不太理想,理由是H既有羟基又有羧基,在浓硫酸作用下发生消去反应时,会生成酯类副产物,影响产率
考查方向
本题考查有机合成方案比较
解题思路
H既有羟基又有羧基,在浓硫酸作用下发生消去反应时,会生成酯类副产物
易错点
有机合成方案比较要注重从以下几个角度分析:原料是否是有毒,有污染的;原料的利用量;原料的性价比,是否存在副反应
教师点评
本题考查有机合成方案比较,属于有机化学的重点内容,常结合绿色化学进行分析,题目难度中等
正确答案
解析


考查方向
本题考查有机合成路线设计
解题思路


易错点
官能团的转化及其反应条件,要掌握熟练
教师点评
本题考查有机合成路线设计,题目难度较大,侧重于学生分析推断及知识综合应用能力
药物Z可用于治疗哮喘、系统性红斑狼疮等,可由X(1,4-环己二酮单乙二醇缩酮)和Y(咖啡酸)为原料合成,如图所示:
43.化合物X有 种化学环境不同的氢原子,有关X、Y、Z三种有机物的说法正确的
是 。A.X是芳香化合物 B.Ni催化下Y能与5molH2加成 C.Z能发生加成、取代及消去反应 D.1mol Z最多可与5mol NaOH反应
44.Y与过量的溴水反应,其化学方程式为 。
45.X可以由 (写名称



(已知烯醇式不稳定,会发生分子重排,

46.Y也可以与环氧丙烷( )发生类似反应①的反应,其生成物的结构简式为 (写一种);Y的同分异构体很多种,其中有苯环、苯环上有三个取代基(且酚羟基的位置和数目都不变)、属于酯的同分异构体有 种。
正确答案
3 C
解析
由结构简式可知结构对称,含3种位置的H,则有3种化学环境不同的氢原子;
选项A:X中不含苯环,则不属于芳香化合物,故A错误;
选项B:Y中苯环与碳碳双键与氢气发生加成反应,则Ni催化下Y能与4mol H2加成,故B错误;
选项C:Z中含碳碳双键、酚-OH、醇-OH,则能发生加成、取代及消去反应,故C正确;
选项D:Z中酚-OH、-COOC-与NaOH反应,则1mol Z最多可与3mol NaOH反应,故D错误;
考查方向
本题考查了有机物结构与性质的知识点
解题思路
位置相同的氢原子:同一个碳原子上的氢原子;同一个碳原子所连接的所有甲基上的氢原子;具有对称性结构。根据化合物X的结构简式可知,分子中含有3种化学环境不同的氢原子。
选项A:X中不含苯环,则不属于芳香化合物;
选项B:Y中苯环与碳碳双键与氢气发生加成反应,则Ni催化下Y能与4mol H2加成;
选项C:Z中含碳碳双键、酚-OH、醇-OH,则能发生加成、取代及消去反应;
选项D:Z中酚-OH、-COOC-与NaOH反应,则1mol Z最多可与3mol NaOH反应;
因此选C选项。
易错点
在有机物中,官能团能决定其化学性质,所以平时一定要熟记一些常见的官能团。
教师点评
本题考查了有机物结构与性质的知识点,在近几年的各省高考题出现的频率较高。
正确答案
解析
Y分子中酚羟基的邻位与对位的氢原子与溴水发生取代反应,碳碳双键与溴水发生加成反应
考查方向
本题考查了有机物结构与性质的知识点
解题思路
酚羟基的邻位与对位的氢原子容易发生取代反应,碳碳双键容易发生加成反应
易错点
在有机物中,官能团能决定其化学性质,所以平时一定要熟记一些常见的官能团。
教师点评
本题考查了有机物结构与性质的知识点,在近几年的各省高考题出现的频率较高。
正确答案
乙二醇(1分) 
解析
X分子中含有2个醚键,则X可以由乙二醇和M通过分子间脱水而得;一定条件下,M发生1个—OH的消去反应生成碳碳双键,由于羟基与碳碳双键直接相连不稳定,容易转化为碳氧双键,所以得到稳定化合物N的结构简式为
考查方向
本题考查了有机物结构与性质的知识点
解题思路
通过产物的结构反推原料是一种比较常见的题型,在做这种类型的题目时,特别要注意其官能团。
易错点
在有机物中,官能团能决定其化学性质,所以平时一定要熟记一些常见的官能团。
教师点评
本题考查了有机物结构与性质的知识点,在近几年的各省高考题出现的频率较高。
正确答案


解析
根据已知信息可知反应①是醚键断键,其中一个氧原子结合氢原子变为羟基,而属于其它部分相连,由于环氧乙烷分子不对称,因此生成物可能的结构简式为

苯环对称结构,在苯环上取代有2种可能,属于酯的取代基有4种,所以共2×4=8种同分异构体。
考查方向
本题考查了有机物结构与性质的知识点
解题思路
根据已知信息可知反应①是醚键断键,其中一个氧原子结合氢原子变为羟基,而属于其它部分相连,还要注意环氧乙烷分子的不对称性。
苯环对称结构,在苯环上取代有2种可能,属于酯的取代基有4种,所以共2×4=8种同分异构体。
易错点
在有机物中,官能团能决定其化学性质,所以平时一定要熟记一些常见的官能团。
教师点评
本题考查了有机物结构与性质的知识点,在近几年的各省高考题出现的频率较高。
有机实验:实践是检验真理的唯一标准。有机实验是了解、检验有机物物理性质、化学性质的重要的感性认识手段,通过这样丰富、印象深刻的感性认识并上升到理性认识,是化学的一门重要学问。实验室制取溴乙烷、1-溴丁烷、乙酸乙酯、乙酸正丁酯分别使用如下四种不同的制取装置:
已知:乙酸乙酯、乙酸正丁酯的沸点分别是77℃和126℃。
57. 图中缺少的是制备 (填名称)的实验装置。
能否用制备乙酸正丁酯的装置代替之?简述理由。
。
58. 请指出制备乙酸乙酯与乙酸丁酯药品用量、实验装置的主要差异并解释之(至少回答3条)
① ;
② ;
③ 。
59. 对所制取的乙酸正丁酯进行提纯的步骤是:
① 水洗;② ;③ ;④ 加入无水氯化钙;⑤ 蒸馏。
(1)简述上述步骤①、②、③、④的主要目的。
① ;② 将剩余的硫酸、醋酸转化成盐以进一步除去之;
③ ;④ 。
(2)在④中用无水氯化钙而不用新制氧化钙;而对于乙醇中混有乙酸,用新制氧化钙而不用无水氯化钙或固体氢氧化钠,简述原因。 。
(3)对反应前的样品称量并计算得到理论产量m1g,对反应结束收集到的纯品称重,得到实际产量m2g,从而计算乙酸正丁酯的产率。以下一般会使乙酸正丁酯的产率偏高的是 。
a. 第②步用氢氧化钠溶液洗涤
b. 第④步无水氯化钙用量不足
c. 第⑤步温度计位置低于支管口
d. 第⑤步收集110℃以上的馏分
有机合成是化工生产的重要领域,涉及很多知识的贯通、应用。
60. 请以1,3-丙二醇为原料合成乳酸(α-羟基丙酸),并简述此路线中关键几步不能颠倒的最主要原因。
注:合成路线的表示方式为:
正确答案
见解析。
解析
57. 1-溴丁烷;不能,生成的溴蒸气、溴化氢有毒会污染环境,需要进行尾气吸收处理。
58. ①(药品用量)制乙酸乙酯:乙醇过量(提高乙酸转化率);制乙酸丁酯:乙酸过量(提高丁醇转化率)。
②(实验装置)制乙酸乙酯:水浴加热(<100℃);制乙酸丁酯:用酒精灯通过空气加热(115-125℃)。
③(实验装置)制乙酸乙酯:边反应边蒸出产物(产物沸点低);制乙酸丁酯:长导管冷凝回流(产物沸点高)。
59. ② 用碳酸钠溶液洗涤;
③ 水洗
(1)① 除去大部分硫酸、醋酸;
③ 除去醋酸钠、碳酸氢钠;
④ 除去产品中的水(干燥)
(2)④中除去乙酸丁酯中的水,可用干燥剂氯化钙,若用氧化钙会生成强碱氢氧化钙使产物水解降低产率;除去乙醇中的乙酸,用氧化钙可将乙酸转化为高沸点盐,而氯化钙不能除去乙酸,氢氧化钠与乙酸反应生成盐的同时还会生成水。
(3)bd
60. 原因:保护碳碳双键、羟基不被所用氧化剂氧化。
注意按如下顺序:
① 浓硫酸/加热(消去一个羟基);
② HBr/适当溶剂(马氏加成);
③ 氧化剂(酸性高锰酸钾或氧气连续两步)(将羟基氧化为羧基);
④ NaOH水溶液/加热(溴原子水解,羧基成盐);
⑤H+(酸化,乳酸钠变为乳酸)(必须先加成再氧化后水解)
知识点
由糠醛A制备镇痛药莫沙朵林的合成路线如下:
已知:最简单的Diels—Alder反应是
(1)糠醛与苯酚缩聚能生成高聚物糠醛树脂,写出反应化学方程式:______________。
(2)糠醛催化加氢后的产物为C5H10O2,与其互为同分异构体并属于羧酸,且烷基上一氯代物只有1种的有机物的系统命名为:_________________。
(3)已知B+X→C和C+Y→D都为加成反应,写出X与Y的结构简式:
X ____________________ Y _____________________ 。
(4)已知:



(用合成路线流程图表示为:A

正确答案
(1)
(2)2,2—二甲基丙酸
(3)
(4)
解析
略
知识点
甲基丙烯酸甲酯是世界上年产量超过100万吨的高分子单体.旧法合成的反应是:
正确答案
解析
略
知识点
36.请从36-38题中任选一题作答。
36.[化学——选修化学与技术]
化学是人类进步的关键,化学为人类的生产、生活提供了物质保证。
(1)电镀时,用镀层金属作阳极的作用是( ).为了使镀层厚度均匀、光滑致密、与镀件的附着力强,除控制溶液中离子浓度外,通常还可以采取的措施有( )
(2)卤水中蕴含着丰富的镁资源,经转化后可获得MgCl2粗产品。从卤水中提取镁的步骤为:
a.将海边大量存在的贝壳煅烧成石灰,并将石灰制成石灰乳;
b.将石灰乳加入到海水沉淀池中经过滤得到Mg(OH)2沉淀;
c.在Mg(OH)2沉淀中加入盐酸得到MgCl2溶液,再经蒸发结晶得到MgCl2·6H2O;
d.将MgCl2·6H2O在一定条件下加热得到无水MgCl2;
e.电解熔融的氯化镁可得到Mg。
①步骤d中的“一定条件”指的是( ),目的是( )。
上述提取镁的流程中,为了降低成本.减少污染,可以采取很多措施,请写出其中一点
③有同学认为:步骤b后可加热Mg(0H)2得到Mg0,再电解熔融的MgO制金属镁,这样可简化实验步骤,你同意该同学的想法吗?为什么?
(3)铀是核反应最重要的燃料,已经研制成功一种螫合型离子交换树脂,它专门吸附海水中( )的U4+,而不吸附其他元素。其反应原理为( )树脂用HR代替),发生离子交换后的离子交换膜用酸处理还可再生并得到含铀的溶液,其反应原理 为( )。
(4)阿司匹林(
37.[化学——选修3:物质结构与性质]
A、B、C、D、E、F六种元素,A、B、C属于第四周期元素且单质均为固体,原子处于基态时A、B原子核外电子均成对,且核电荷数A>B;C与A在周期表属于同一区的元素,如图是金属B和C所形成的某种合金的晶胞结构示意图;D、E、F均位于p区,D原子在基态时p轨道半充满且电负性是同族元素中最大的;E、F的原子均有三个能层,E原子的第一至第四电离能(kj/mol)分别为:578、1 817、2 745、ll 575;E与F能形成原子数目 比为1:3、熔点为190℃的化合物Q。
(1)写出A的基态核外电子排布式( );用最简式表示B、C形成合金的组成( )(用B、C元素符号表示)。该合金的密度为 a g/cm3,其晶胞的边长为( )。
(2)C2+和A2+都能与NH3、H20等形成配位数为4的配合物。[A(NH3)4]2+和[C(NH3)4]2+空间构型不同且都具有对称性,则[C(NH3)4]2+的空间构型为( )。[A(NH3)4]2+中A原子轨道的杂化方式为( )。
(3) 含有D、碳、硫三种元素的负一价离子中,所有原子均满足最外层8电子结构,一个电子是由硫原子所得,则其电子式为( )。
(4)实验测得气态无水Q在1.Ol×105 Pa、t1℃的密度为5.OO g·L-1、气体摩尔体积为53.4 L·mol-,则此时Q的组成为(写化学式)( ),
38. [化学——选修5:有机化学基础]
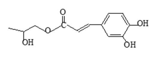
A是一种药用有机物,在生活中有较高的用途.A的转化关系如下图所示。已知A在一定条件下能跟醇发生酯化反应,A分子中苯环上的两个取代基处于邻位,D能跟NaOH溶液反应。
请回答:
(1)A转化为B、C时.涉及到的反应类有( )、( )。
(2)E的两种同分异构体Q、R都能在一定条件下发生银镜反应,R能与Na反应放出H2,而Q不能。Q、R的结构简式为Q( )、R( )。
(3)D的结构简式为( )。
(4)写出A在加热条件下与NaOH溶液反应的化学方程式( )。
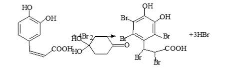
(5)已知:
正确答案
解析
解析已在路上飞奔,马上就到!
知识点
7.以石油为原料可进行如下转化:石油→乙烯→乙醇→乙酸→乙酸乙酯。
下列说法正确的是( )
正确答案
解析
解析已在路上飞奔,马上就到!
知识点
扫码查看完整答案与解析




























