- 解三角形
- 共459题
1
题型:填空题
|
14.



正确答案
解析
解析已在路上飞奔,马上就到!
知识点
正弦定理
1
题型:简答题
|
16. 在△








(Ⅰ)求角
(Ⅱ)求
正确答案
解析
解析已在路上飞奔,马上就到!
知识点
三角函数中的恒等变换应用正弦定理余弦定理
1
题型:简答题
|
19.


(1)求角
(2)若


正确答案
解析
解析已在路上飞奔,马上就到!
知识点
正弦定理余弦定理的应用
1
题型:简答题
|
19.在


(1)求
(2)若

正确答案
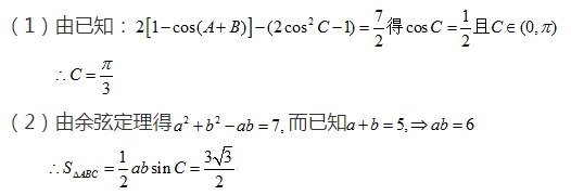
(1)
又
而
所以
(2)由(1)可知
所以
解析
解析已在路上飞奔,马上就到!
知识点
正弦定理平面向量数量积的运算
1
题型:
单选题
|
4.在




正确答案
A
解析
解析已在路上飞奔,马上就到!
知识点
同角三角函数间的基本关系正弦定理
1
题型:填空题
|
13. △ABC中,角A、B、C的对边分别为a,b,c,若S表示△ABC的面积,若acosB+bcosA=csinC,,且
正确答案
解析
解析已在路上飞奔,马上就到!
知识点
两角和与差的余弦函数正弦定理余弦定理
1
题型:
单选题
|
3.在△ABC中,

正确答案
A
解析
解析已在路上飞奔,马上就到!
知识点
正弦定理
1
题型:简答题
|
16.向量

(1)求函数
(2)已知锐角△ABCC的三个内角分别为A,B,C,若有

正确答案
解析
解析已在路上飞奔,马上就到!
知识点
三角函数的周期性及其求法三角函数中的恒等变换应用正弦定理余弦定理平面向量共线(平行)的坐标表示
1
题型:
单选题
|
5.已知△ABC中,


正确答案
C
解析
解析已在路上飞奔,马上就到!
知识点
正弦定理数量积表示两个向量的夹角
1
题型:简答题
|
17.在



(1)求角
(2)若

正确答案
(1)由

所以
(2) 由余弦定理a2=b2+c2-2bccos A,得b2+c2-bc=36.又b+c=8,所以bc=
由三角形面积公式S=

解析
解析已在路上飞奔,马上就到!
知识点
正弦定理余弦定理
已完结
扫码查看完整答案与解析




















