- 一元高次不等式的解法
- 共47题
1
题型:
单选题
|
1. 若

正确答案
B
解析
解析已在路上飞奔,马上就到!
知识点
一元高次不等式的解法
1
题型:
单选题
|
5.若偶函数



正确答案
C
解析
解析已在路上飞奔,马上就到!
知识点
函数奇偶性的性质一元高次不等式的解法
1
题型:简答题
|
18.“蛟龙号”从海底中带回的某种生物,甲乙两个生物小组分别独立开展对该生物离开恒温箱的成活情况进行研究,每次试验一个生物,甲组能使生物成活的概率为

(1)甲小组做了三次试验,求至少两次试验成功的概率.
(2)如果乙小组成功了4次才停止试验,求乙小组第四次成功前共有三次失败,且恰有两次连续失败的概率.
(3)若甲乙两小组各进行2次试验,设试验成功的总次数为

正确答案
(1)
(2)

(3)由题意

故
解析
解析已在路上飞奔,马上就到!
知识点
一元高次不等式的解法
1
题型:简答题
|
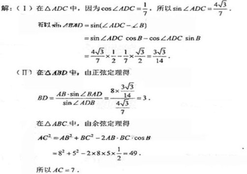
17. 如图,在




(I)求
(II)求

正确答案
解析
解析已在路上飞奔,马上就到!
知识点
一元高次不等式的解法
1
题型:填空题
|
14.由不等式组
正确答案
解析
解析已在路上飞奔,马上就到!
知识点
一元高次不等式的解法
下一知识点 : 其它不等式的解法
扫码查看完整答案与解析














