- 等比数列的性质及应用
- 共160题
1
题型:简答题
|
已知等差数列{an}的首项a1=2,a7=4a3,前n项和为Sn。
(1) 求an及Sn;
(2) 设bn=
正确答案
见解析
解析
(1)设公差为d,
由题意知a1+6d=4(a1+2d),
由a1=2解得d=-3,
故an=-3n+5, Sn=
(2) 由(1)得bn=



由基本不等式得n+

所以bn=




从而得bn的最大值为
知识点
等比数列的性质及应用
1
题型:简答题
|
已知公差不为零的等差数列


(1)求数列
(2)令




正确答案
见解析。
解析
(1)设数列


解得:



(2)
知识点
等比数列的性质及应用
1
题型:简答题
|
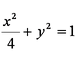
已知中心在原点的椭圆

(1)求椭圆
(2)若直线







正确答案
(1)
解析
解析:(1)椭圆
(2)
由



由

解得

知识点
等比数列的性质及应用
1
题型:简答题
|
18.设
(1)求
(2)设


正确答案
见解析
解析
解析:(1)由
解之得q=2(q=-1舍去)
∴
(2)

∴
∴
下式减去上式得
知识点
等比数列的性质及应用
1
题型:
单选题
|
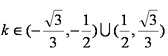
已知实数




正确答案
D
解析
略
知识点
等比数列的性质及应用
已完结
扫码查看完整答案与解析






















