- 等比数列的性质及应用
- 共160题
1
题型:简答题
|
17.数列





(I)求
(II)求
正确答案
答案:(I)


因为



解得

当


(II)当



所以
又


当

解析
解析已在路上飞奔,马上就到!
知识点
由递推关系式求数列的通项公式等比数列的性质及应用
1
题型:
单选题
|
8.各项均为正数的等比数列{an}的前n项和为Sn,若Sn=2 ,S3n=14,则S4n等于( )
正确答案
B
解析
解析已在路上飞奔,马上就到!
知识点
等比数列的基本运算等比数列的性质及应用
1
题型:填空题
|
14.设{an}是公比q>1的等比数列,若a2008和a2009是方程4x2-8x+3=0的两根,则a2009+a2010=( )
正确答案
6
解析
解析已在路上飞奔,马上就到!
知识点
等比数列的性质及应用
1
题型:
单选题
|
1.已知正项等比数列
正确答案
A
解析
解析已在路上飞奔,马上就到!
知识点
等比数列的性质及应用
1
题型:简答题
|
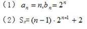
16.已知数列


(1)求数列

(2)设数列


正确答案
解析
解析已在路上飞奔,马上就到!
知识点
等比数列的性质及应用
已完结
扫码查看完整答案与解析




