- 正弦函数的奇偶性
- 共47题
1
题型:填空题
|
14.在锐角三角形


正确答案
8;
解析
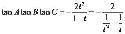
由

可得
由三角形

在(*)式两侧同时除以

又
则
由

令


由(#)得






当且仅当


解得


考查方向
三角恒等变换,切的性质应用
解题思路
根据诱导公式、和差角公式化简,利用两边同除得到正切关系,应用正切公式的变形分析表示出
易错点
公式变形,函数关系转化,函数思想应用。
知识点
正弦函数的奇偶性
1
题型:
单选题
|
5.下列函数中,最小正周期为π的奇函数是( )
正确答案
B
解析
A、B、C的周期都是π,D的周期是2π,但A中,y=cos2x是偶函数,C中y=

考查方向
本题主要考察三角函数的性质等知识,意在考察考生的基础知识。
解题思路
先将选项化简后利用三角函数的周期和奇偶性判断即可。
易错点
1利用诱导公式化简时没有注意奇偶导致出错;2不会利用辅助角公式化简C,D选项。
知识点
三角函数的周期性及其求法正弦函数的奇偶性
下一知识点 : 正弦函数的定义域和值域
扫码查看完整答案与解析


