- 直线方程和两条直线的位置关系
- 共550题
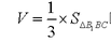
在如图的多面体中,









(1)求证:

(2)求证:
(3)求多面体
正确答案
见解析。
解析
(1)证明:∵

又∵



∴四边形

∵





(2)证明:∵




又




过





∵


∵


∴



又





∵


(3)∵




由(2)知四边形

∴
知识点
如图1,





(1)证明:
(2)设







正确答案
见解析
解析
(1)∵











(2)连接





∵














知识点
如图,在直三棱柱ABC﹣A1BlC1中,AC=BC=
(1)求证:AC⊥BC1;
(2)求证:AC1∥平面B1CD:
(3)求异面直线AC1与B1C所成角的余弦值。
正确答案
见解析。
解析
(1)证明:∵CC1⊥平面ABC,AC⊂平面ABC,∠ACB=90°,
∴CC1⊥AC,AC⊥BC,又BC∩CC1=C,
∴AC⊥平面BCC1,BC1⊂平面BCC1,
∴AC⊥BC1。
(2)
如图,设CB1∩C1B=E,连接DE,
∵D为AB的中点,E为C1B的中点,∴DE∥AC1,
∵DE⊂平面B1CD,AC1⊄平面B1CD,
∴AC1∥平面B1CD。
(3)由DE∥AC1,∠CED为AC1与B1C所成的角,
在△CDE中,DE=


CE=




cos∠CED=


∴异面直线AC1与B1C所成角的余弦值为
知识点
如图所示,正方形AA1D1D与矩形ABCD所在平面互相垂直,AB=2AD=2,点E为AB的中点。
(1)求证:BD1∥平面A1DE
(2)求证:D1E⊥A1D;
(3)求点B到平面A1DE的距离。
正确答案
见解析。
解析
(1)证明:∵正方形AA1D1D与矩形ABCD所在平面互相垂直,AB=2AD=2,点E为AB的中点,设O为AD1的中点,
则由三角形的中位线性质可得OE∥BD1。
由于OE⊂平面A1DE,BD1不在平面A1DE内,故BD1∥平面A1DE。
(2)证明:由题意可得D1A 是D1E在平面AA1D1D内的射影,由正方形的性质可得D1A⊥A1D,
由三垂线定理可得D1E⊥A1D。
(3)设点B到平面A1DE的距离为h,由于线段AB和平面A1DE交于点E,且E为AB的中点,
故A、B两点到平面A1DE的距离相等,即求点A到平面A1DE的距离h。
由于





∵

∴




知识点
如图,在四棱锥E—ABCD中,底面ABCD为正方形,AE


(1)若F为DE的中点,求证:BE//平面ACF;
(2)求直线BE与平面ABCD所成角的正弦值。
正确答案
见解析
解析
(1)连结











(2)过
























由



又





知识点
已知直线ax+by﹣1=0(a,b不全为0)与圆x2+y2=50有公共点,且公共点的横、纵坐标均为整数,那么这样的直线有( )
正确答案
解析
解:当x≥0,y≥0时,圆上横、纵坐标均为整数的点有(1,7)、(5,5)、(7,1),
根据题意画出图形,如图所示:
根据圆的对称性得到圆上共有3×4=12个点横纵坐标均为整数,
经过其中任意两点的割线有C122=66条,过每一点的切线共有12条,
上述直线中经过原点的有6条,如图所示,
则满足题意的直线共有66+12﹣6=72条。
知识点
如图,在四棱锥P﹣ABCD中,底面ABCD是正方形,PA⊥平面ABCD,且PA=AD点F是棱PD的中点,点E为CD的中点。
(1)证明:EF∥平面PAC;
(2)证明:PE⊥AF;
(3)求二面角B﹣PC﹣D的大小。
正确答案
见解析。
解析
(1)∵点E,F分别为CD,PD的中点,∴EF∥PC。
∵PC⊂平面PAC,EF⊄平面PAC,
∴EF∥平面PAC。
(2)证明:∵PA⊥平面ABCD,CD⊂平面ABCD
又ABCD是矩形,∴CD⊥AD,
∵PA∩AD=A,∴CD⊥平面PAD。
∵AF⊂平面PAD,∴AF⊥CD。
∵PA=AD,点F是PD的中
又CD∩PD=D,∴AF⊥平面PDC。
∵PE⊂平面PDC,∴PE⊥AF。
(3)
过点B作BH⊥PC于H,连接DH
∵△PBC≌△PDC,∴DH⊥PC
∴∠BHD是二面角B﹣PC﹣D的二面角。
设PA=AD=1,在△BHD中,BH=DH=
∴cos∠BHD=

∴二面角B﹣PC﹣D的大小为120°。
知识点
如图,在棱长均为4的三棱柱



(1)求证:

(2)若平面ABC⊥平面


正确答案
见解析
解析
(1)证明:
如图,连结

因为


所以

所以四边形
所以
又因为
所以
所以四边形
又




(2)在



因为平面




所以



在


在

所以
所以三棱锥


知识点
如图,矩形














(1)求证:
(2)求异面直线MD与FC所成的角的大小
正确答案
见解析
解析
解析:
(1)证明:连接

因为平面


所以 


所以 

又 


所以 

所以 
(2)60
知识点
如图,棱柱ABCD—A1B1C1D1的所有棱长都等于2,∠ABC=60°,平面AA1C1C⊥平面ABCD,∠A1AC=60°。
(1)证明:BD⊥AA1;
(2)在直线CC1上是否存在点P,使BP//平面DA1C1?若存在,求出点P的位置;若不存在,说明理由。
正确答案
见解析。
解析
(1)在A1作A1O⊥AC于点O,由于平面AA1C1C⊥平面ABCD,由面面垂直的性质定理知,A1O⊥平面ABCD,
又底面为菱形,所以AC⊥BD
(2)
存在这样的点P,连接B1C,因为A1B1

∴四边形A1B1CD为平行四边形。∴A1D//B1C
在C1C的延长线上取点P,使C1C=CP,连接BP
因B1B
∴BB1
则BP//B1C ∴BP//A1D ∴BP//平面DA1C1
知识点
扫码查看完整答案与解析
































