- 圆系方程
- 共49题
1
题型:填空题
|
13.在等差数列


正确答案
解析
解析已在路上飞奔,马上就到!
知识点
圆系方程
1
题型:简答题
|
17.已知向量
(1)求
(2)在

正确答案
解析
解析已在路上飞奔,马上就到!
知识点
圆系方程
1
题型:简答题
|
17.已知

(1)求数列
(2)求数列

正确答案
Sm=2+22+23+…+2n=
解析
解析已在路上飞奔,马上就到!
知识点
圆系方程
1
题型:简答题
|
20.国家助学贷款是由财政贴息的信用贷款,旨在帮助高校家庭经济困难学生支付在校学习期间所需的学费、住宿费及生活费.每一年度申请总额不超过6000元.某大学2010届毕业生李顺在本科期间共申请了24000元助学贷款,并承诺在毕业后3年内(按36个月计)全部还清.
签约的单位提供的工资标准为第一年内每月1500元,第13个月开始,每月工资比前一个月增加5%直到4000元.李顺同学计划前12个月每个月还款额为500元,第13个月开始,每月还款额比前一月多x元.
(I)若李顺恰好在第36个月(即毕业后三年)还清贷款,求x的值;
(II)当x=50时,李顺同学将在第几个月还清最后一笔贷款?他还清贷款的那一个月的工资余额是多少?
(参考数据:1.0518 =2.406,1.0519=2.526,1.0520 =2.653,1.0521=2.786)
正确答案
解析
解析已在路上飞奔,马上就到!
知识点
圆系方程
1
题型:简答题
|
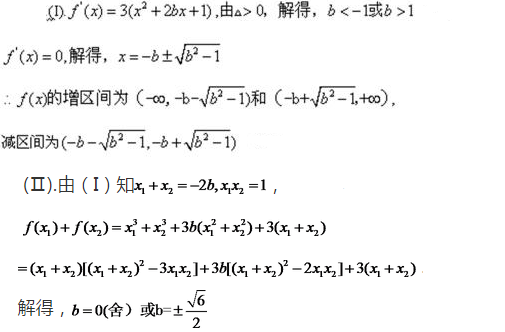
19. 已知函数
(Ⅰ) 求函数

(Ⅱ) 若函数


正确答案
解析
解析已在路上飞奔,马上就到!
知识点
圆系方程
下一知识点 : 相交弦所在直线的方程
扫码查看完整答案与解析






