- 函数恒成立问题
- 共47题
正确答案
LUE
知识点
正确答案
略
知识点
设函数f(x)=ax2+b,其中a,b是实数.
20.若ab>0,且函数f[f(x)]的最小值为2,求b的取值范围;
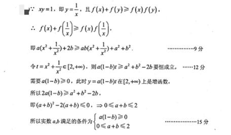
21.求实数a,b满足的条件,使得对任意满足xy=l的实数x,y,都有f(x)+f(y))≥f(x)f(y))成
立.
正确答案
详见解析
解析
考查方向
函数的综合题,二次函数的性质和特征
已知函数的最值求参数的取值范围
解题思路
根据题意化简成二次函数,然后利用二次函数的性质求其最值
易错点
化简错误,分类讨论出错
正确答案
详见解析
解析
考查方向
平均值不等式
不等式与函数的综合应用
解题思路
根据所给函数的性质,求出a、b之间的关系,然后化简等式,构造出平均值不等式的形式,最后求出满足的条件
易错点
化简错误,不能想到用平均值不等式求解
已知函数

25.当

26.若


27.若


正确答案
当



由



由



∴综上,

解析
当



由



由



∴综上,

考查方向
本题主要考查了导数的应用——利用导数求函数的单调区间问题,属于常规性问题。
解题思路
首先将


易错点
本题容易因含有对数的超越不等式不会解而导致结果算不出来。
教师点评
本题属于常规性问题,在每一年的高考中都会考到,需要考生加强这一类问题的训练。
正确答案
已知


从而


令



∴


当





而

解析
已知


从而


令



∴


当





而

考查方向
本题主要考查了导数的应用,通过求最值来解决不等式恒成立的问题。
解题思路
首先将问题转化为求函数的最值的问题,然后在利用导数予以解决。
易错点
本题在对恒成立问题的分析中容易产生错误的理解而导致出错。
正确答案
由(1)知,当


∵

即


又因为




∴


解析
由(1)知,当


∵

即


又因为




∴


考查方向
本题考查了导数的应用以及不等式的证明。
解题思路
首先根据函数的单调性予以放缩,再利用放缩法予以证明。
易错点
本题容易因为放缩法掌握不清楚而导致出现错误。
教师点评
本题属于不等式的证明问题,难度较大,考生需要有足够的知识储备和应变能力。
扫码查看完整答案与解析





