- 数列求和、数列的综合应用
- 共397题
设函数

正确答案
解析
若
故
知识点
设函数




正确答案
解析
依题意,构造函数

∴

知识点
在等差数列


(1)求数列
(2)设数列





正确答案
(1)
(2)当


解析
(1)解:设等差数列

依题意 

所以 

所以数列

(2)解:由数列


得 

所以 
所以

从而当

当

知识点
已知数列




…………
则该数阵中的第10行,第3个数为_______________.
正确答案
97
解析
略
知识点
14.已知函数






正确答案
解析
解析已在路上飞奔,马上就到!
知识点
11. 已知函数





正确答案
解析
解析已在路上飞奔,马上就到!
知识点
7.设函数








正确答案
解析
解析已在路上飞奔,马上就到!
知识点
21. 函数








(1)求数列{
(2)若数列


(3)若函数





正确答案
解析
解析已在路上飞奔,马上就到!
知识点
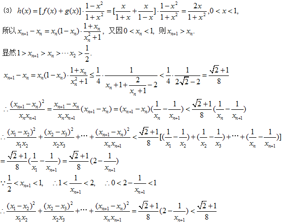
21. 已知函数



(1)求函数
(2)若数列



(3)在(2)的条件下,证明:
正确答案
解析
解析已在路上飞奔,马上就到!
知识点
20.设等差数列



(1)证明:数列
(2)若







正确答案
解析
解析已在路上飞奔,马上就到!
知识点
扫码查看完整答案与解析




















