- 数列求和、数列的综合应用
- 共397题
16.整数数列{



正确答案
987
解析
解析已在路上飞奔,马上就到!
知识点
19.正项等比数列{an}中,
(1)求数列{an}的通项公式;
(2)若数列{bn}满足:
正确答案
(1)
(2)
解析
解析已在路上飞奔,马上就到!
知识点
17.数列








正确答案

解析
解析已在路上飞奔,马上就到!
知识点
12. 若

正确答案
解析
解析已在路上飞奔,马上就到!
知识点
14.数列



正确答案
420
解析
解析已在路上飞奔,马上就到!
知识点
14.已知数列

正确答案
解析
当n=1时,a1=S1=9;
当n≥2时,an=Sn-Sn-1=11-2n,由于n=1时,a1=9也满足11-2n,因此an=11-2n.
(1)当n>5时,Tn=|a1|+|a2|+…+|an|=-Sn+2S5=n2-10n+50,
(2)当n≤5时,Tn=|a1|+|a2|+…+|an|=-(a1+a2+…+an)=10n-n2,
综合(1)(2),得Tn=
知识点
19.已知数列


(1)求数列
(2)设


正确答案
解析
解析已在路上飞奔,马上就到!
知识点
23.设数列





(1)若

(2)若

(3)若


正确答案
(1)由题意,得
解
∴

(2)由题意,得
对于正整数,由

根据
当

当

∴

(3)假设存在p和q满足条件,由不等式


∵


即
当



这与上述结论矛盾!
当



∴ 存在p和q,使得
p和q的取值范围分别是
解析
解析已在路上飞奔,马上就到!
知识点
17.阅读程序框图(图中n∈N*),回答下面的问题。
(Ⅰ)当n=3时,求S的值;
(Ⅱ)当S<100时,求n的最大值。
正确答案
解析
解析已在路上飞奔,马上就到!
知识点
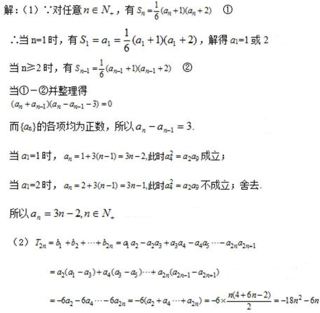
17.已知数列


(Ⅰ)数列
(Ⅱ)数列

正确答案
解析
解析已在路上飞奔,马上就到!
知识点
扫码查看完整答案与解析




















