- 正弦式电流的峰值和有效值、平均值
- 共126题
21.如图所示的正方形线框abcd边长为L,每边电阻均为r,在垂直于纸面向里,磁感应强度为B的匀强磁场中绕cd轴以角速度ω匀速转动,c、d两点与一阻值为r的电阻相连,各表均可视为理想表,导线电阻不计,则下列说法中正确的是( ).
正确答案
解析
因为线框在垂直于纸面向里,磁感应强度为B的匀强磁场中绕cd轴以角速度ω匀速转动,所以交生的是交变电流,A正确;当S断开时,电压表的示数为cd两点间的电压,cd两点间的电压为



考查方向
解题思路
1、根据交变电流的产生规律知感应电动势瞬时值
2、当S断开时,电压表的示数为cd两点间的电压,当S闭合时,r与cd并联,根据闭合电路欧姆定律求出电流。
易错点
无
知识点
7.如图甲所示,一单匝圆形闭合导线框半径为r,线框电阻为R,连接一交流电流表(内阻不计)。线框内充满匀强磁场,已知该磁场磁感应强度B随时间按正弦规律变化,如图乙所示(规定向下为B的正方向),则下列说法正确的是 ( )
正确答案
解析
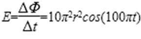
A选项,由图可知B=0.1sin(100πt),磁通量Φ=BS=0.1πr2sin(100πt),所以

B选项,根据楞次定律0.01s时,磁场逐渐减小,感应电流的磁场,应该与原磁场的方向相相同,根据右手定则可知电流方向从上往下看为顺时针方向,故B选项正确。
C选项,0.015s时,根据i==cos(100πt)可知,瞬时电流为零,但是交流电流表测的是交变电流的有效值,而不是瞬时值,故错误。
D选项,根据公式i=cos(100πt)可知,交变电流的有效值i有效=,0~0.02s内闭合导线框上产生的热量Q= i有效2Rt=,带入数据可得:Q=,故D选项正确。
考查方向
解题思路
1、首先根据B-t时间图像写出B的函数表达式,再根据感生电动势的基本公式

易错点
1、对交变电流表测量交变电流的有效值还是瞬时值分辨不清。2、对交变电流有效值的计算方法掌握不到位。3、在计算线框上产生的热量时不知道用交变电流的有效值还是瞬时值。
知识点
6. 某小型水电站的电能输送示意图如图所示,发电机通过升压变压器T1和降压变压器T2向用户供电。已知输电线的总电阻为R=10Ω,降压变压器T2原、副线圈匝数之比为4∶1,降压变压器副线圈两端交变电压u=220
正确答案
解析
A、通过用电器的电流有效值


B、输电线上损耗的功率


C、当用电器的电阻R0增大时,降压变压器的输出电流减小,则输电线上的电流减小,升压变压器原线圈中的电流变小,根据
D、交流电经过变压器,频率不变,则交流电的频率
考查方向
解题思路
在输电的过程中,交流电的频率不变,结合降压变压器的输出电压和用电器的电阻,根据欧姆定律求出通过用电器的电流,结合输电线上的功率损失求出升压变压器的输入功率.
易错点
正弦式交流电有效值的求法,理想变压器输出功率决定输入功率的理解;
知识点
4.如图所示,两根间距为

正确答案
解析
A.当导体棒切割磁感线时,产生的感应电动势为 E=BLv,由于L按正弦规律变化,这个过程产生正弦式交变电流,故A正确; B.根据电流热效应,设此交流电的电压有效值为U,由



考查方向
解题思路
根据公式E=BLv列式分析电流的特点.交流电压表及交流电流表测量的是有效值,根据正弦式交流电的有效值表达式求出有效值,根据焦耳定律求出导体棒的热功率。
易错点
导体棒切割长度的变化规律,及磁场方向的变化,有效值的求法。
知识点
16.A、B是两个完全相同的电热器,A通以图甲所示的交变电流,B通以图乙所示的交变电流,则两电热器的电功率之比PA:PB等于
正确答案
解析
根据有效值的定义,则有:
解得:有效值
正弦交流电的电流有效值
根据功率公式
P甲:P乙=I甲2:I乙2=5:4,故A正确,BCD错误;
故选:A.
考查方向
正弦式电流的最大值和有效值、周期和频率;电功、电功率.
解题思路
根据有效值的定义求解.取一个周期时间,将交流与直流分别通过相同的电阻,若产生的热量相同,直流的电流值,即为此交流的有效值.
根据功率公式
易错点
对于交变电流求解热量、热功率、电功等都应用有效值,求解电量用平均值.
知识点
18.如图甲所示,理想变压器的原、副线圈匝数比n1∶n2=10∶1,原线圈输入的交流电压如图乙所示,副线圈电路接有滑动变阻器R和额定电压为12V、工作时内阻为2 Ω的电动机.闭合开关,电动机正常工作,电流表示数这1A.则
正确答案
解析
由图象可知,电压的最大值为Um=311V,交流电的周期为T=2×10-2s,所以交流电的频率为 f ==50Hz。A选项,交流电的有效值为U=220V,根据电压与匝数程正比U:U′=n1:n2=10:1,可知副线圈的电压为U′=22V,故A错误。B选项,电动机的总功率P=IU=12V×1A=12W,由于电动机存在一定内阻,故电动机的总功率P总功率=P热功率+P机械功率,P机械功率<12W,故B错误。C选项,变压器不会改变电流的频率,所以副线圈输出电压的频率为f=50Hz,故C正确。D选项,变压器副线圈的电压U′由原线圈电压U决定,原线圈电压不变,副线圈电压也不变,当电动机被卡住时,作用在电动机内阻上的电压急剧增大,副线圈电流I′增大,原线圈电流I同样增大,故原线圈的输入功率P=IU增大,故D错误
考查方向
解题思路
1、根据原线圈交变电流的图像得出交变电流的最大值、有效值、周期、频率等物理量。2、根据理想变压器原副线圈电压、电流的关系:U1:U2=n1:n2,I1:I2=n2:n1,计算副线圈的电流、电压。3、根据电动机的总功率、机械功率、热功率之间的关系:P总功率=P热功率+P机械功率,就算机械功率。4、根据电动机卡住后电流增大,得出原线圈电流增大,原线圈输入功率相应增大。
易错点
1、电流表测交变电流的有效值,容易误认为是测最大值。2、不清楚电动机卡住后电流的变化。3、不清楚电动机的总功率、机械功率、热功率之间的关系。
知识点
17. 一个电热器接在直流电源上,通过它的电流为 2A,其电功率为 P;把它接在某个 正弦交流电源上,其电功率为 2P。如果电热器电阻的阻值不变,则此电热器接在该交流电 源上通过它的电流的最大值为
正确答案
解析
根据题意可知,电热功率为





考查方向
解题思路
抓住P2=2P1 , 把

易错点
求电功率用的是电流为有效值。
知识点
9. 如图所示,匀强磁场的磁感应强度


正确答案
解析
A、小灯泡正常发光,故变压器的输出电流为:
B、
C、小灯泡正常发光,故变压器的输出电压为20V,根据变压比公式




D、电压表的示数为有效值40V,D错误。
考查方向
本题主要考查了交流发电机及其产生正弦式电流的原理;正弦式电流的图象和三角函数表达式;正弦式电流的最大值和有效值、周期和频率.
解题思路
由小灯泡正常发光,得到变压器的输出电压和输出电流,然后结合变压比公式和变流比公式求解变压器的输入电压和电流,最后结合发电机的电动势公式e=NBSωsinωt分析.
易错点
本题关键是明确交流发电机的瞬时值、有效值、最大值的区别和求解方法,同时要结合变压器的变压比和变流比公式列式求解。
知识点
6.如图所示,理想变压器原线圈a、b两端接正弦交变电压u,u=220
正确答案
解析
输入电压决定输出电压,因为U1不变,所以U2也不变,即电压表读数不变,A正确;
电路中的电容器作用是:通交流,隔直流。因为是交流电,所以A2的示数不为0,B错误;
电容器的容抗与频率呈倒数关系,所以交流电的频率增加,电流增大,所以C正确,D错误。
故选AC
考查方向
解题思路
根据交变电流-理想变压器规律和欧姆定律求解。
易错点
电容器的容抗与频率呈倒数关系
知识点
3.如图甲所示为一交变电路,其中交流电流表与交流电压表均为理想电表,电路中电阻R的阻值为
正确答案
解析
A.交流电压表读数为有效值,因此副线圈两端电压为20V,最大值为
B、C.由于理想变压器原副线圈的电压与匝数成正比,则原副线圈匝数比为



D.当电阻R的阻值减小时,由于输入电压与匝数比没有改变,所以输出电压不变,即电压表的示数不变,由
考查方向
解题思路
交流电压表与电流表测量的是交流电的有效值;根据电压与匝数成正比,电流与匝数成反比解出匝数比,从而算出原线圈中的电流;根据理想变压器输入功率等于输出功率,当电阻R减小时,输出功率变小,从而确定出输入功率的变化。
易错点
交流电压表与电流表测量的是交流电的有效值;
知识点
扫码查看完整答案与解析
























