- 分布的意义和作用
- 共22题
18.下图是我国2008年至2014年生活垃圾无害化处理量(单位:亿吨)的折线图
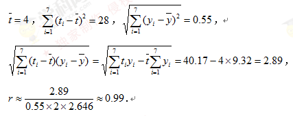
(I)由折线图看出,可用线性回归模型拟合y与t的关系,请用相关系数加以说明
(II)建立y关于t的回归方程(系数精确到0.01),预测2016年我国生活垃圾无害化处理量。
正确答案
解:(Ⅰ)由折线图这数据和附注中参考数据得
所以预测2016年我国生活垃圾无害化处理量将约1.82亿吨.
知识点
19.某公司计划购买2台机器,该种机器使用三年后即被淘汰.机器有一易损零件,在购进机器时,可以额外购买这种零件作为备件,每个200元.在机器使用期间,如果备件不足再购买,则每个500元.现需决策在购买机器时应同时购买几个易损零件,为此搜集并整理了100台这种机器在三年使用期内更换的易损零件数,得下面柱状图:
以这100台机器更换的易损零件数的频率代替1台机器更换的易损零件数发生的概率,记

(I)求
(II)若要求

(III)以购买易损零件所需费用的期望值为决策依据,在

正确答案
19.(I)x的取值为16,17,18,19,20,21,22
P(x=16)=(
P(x=17)=
P(x=18)= (

P(x=19)= 2×


P(x=20)=(

P(x=21)= 2×
P(x=22)= 
x的分布列:
(II)
p(x≤18)=
p(x≤19)=
(III)由(I)分布列:p(x≤19)=
买19个所需费用期望EX1=200×19×
+(200×19+500×2) ×
买20个所需费用期望EX2=200×20×
+(200×20+2×500) ×
∴EX1<EX2 ∴ 买19个更合适.
知识点
某企业为了解下属某部门对本企业职工的服务情况,随机访问50名职工,根据这50名职工对该部门的评分,绘制频率分布直方图(如图所示),其中样本数据分组区间为
18.求频率分布图中
19.估计该企业的职工对该部门评分不低于80的概率;
20.从评分在

正确答案
(Ⅰ)0.006
解析
(Ⅰ)因为
考查方向
解题思路
根据所给统计量计算求得
易错点
计算错误,对相关概念理解错误
正确答案
(Ⅱ)
解析
(Ⅱ)由所给频率分布直方图知,50名受访职工评分不低于80的频率为
所以该企业职工对该部门评分不低于80的概率的估计值为
解题思路
根据频率分布直方图求得
易错点
频率求错,读图能力提信息时马虎大意。
正确答案
(Ⅲ)
解析
(Ⅲ)受访职工评分在[50,60)的有:50×0.006×10=3(人),即为
受访职工评分在[40,50)的有: 50×0.004×40=2(人),即为
从这5名受访职工中随机抽取2人,所有可能的结果共有10种,它们是



考查方向
解题思路
根据题意,按区间分别求概率
易错点
分类时错误,区间求概率时错误
5. 以下茎叶图记录了甲,乙两组各五名学生在一次英语听力测

已知甲组数据的中位数为


正确答案
解析
将两组数据列出甲组数据:9,12,10+x,24,27;乙组数据:9,15,10+y,18,24.由上面数据及题意可知甲中的中位数为



A选项不正确,B选项不正确,D选项不正确,所有选C选项.
考查方向
解题思路
1、先将两组数据列出来,然后按题目要求找出中位数2、平均数直接代入计算即可. A选项不正确,B选项不正确,D选项不正确,所有选C选项.
易错点
1、本题中拟出各组数据易将十位数字弄错 . 2、本题易将中位数和众数混淆,导致题目解答出错.
知识点
19.心理学家发现视觉和空间能力与性别有关,某数学兴趣小组为了验证这个结论,从兴趣小组中按分层抽样的方法抽取50名同学 (男30女20), 给所有同学几何题和代数题各一题,让各位同
(I)能否据此判断有97.5%的把握认为视觉和空间能力与性别有关?
(II)经过多次测试后,女生甲每次解答一道几何题所用的时间在5—7分钟,女生乙每次解答一道几何题所用的时间在6—8分钟,现甲、乙各解同一道几何题,求乙比甲先解答完的概率.
(III)现从选择做几何题的8名女生中任意抽取两人对她们的答题情况进行全程研究,记甲、 乙两女生被抽到的人数为


附表及
正确答案
(Ⅰ)


解析
试题分析:本题属于概率统计中的基本问题,题目的难度是逐渐由易到难,(1)直接按照步骤来求(2)构造几何概型模型(3)确定随机变量,求随机变量的期望. (Ⅰ)由表中数据得


(Ⅱ)设甲、乙解答一


设事件


(Ⅲ)由题可知在选择做几何题的8名女生中任意抽取两人,抽取方法有








考查方向
解题思路
本题考查导数的性质,解题步骤如下: 1、求
易错点
1、第一问相关性分析数据容易计算错误. 2、第二问中的概率计算中的基本事件查找不清,易造成计算错误. 3、第三问中的分布列的随机变量的值对应的概率在计算时易出现出现错误.
知识点
扫码查看完整答案与解析




































