- 苯酚的化学性质
- 共29题
11.化合物X是一种医药中间体,其结构简式如图所示。下列有关化合物X的说法正确的是( )
正确答案
知识点
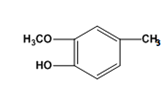
9.
正确答案
解析
苯酚分子中苯环上的等效氢有邻位、间位、对位三种,丁基有四种,所以本题的同分异构体种类为12种。
考查方向
同分异构体
解题思路
苯酚分子中苯环上的等效氢种类乘以丁基的同分异构体种类即可。
易错点
本题容易忽视丁基的一种同分异构类型
知识点
12.辣椒素是辣椒的活性成分,可在口腔中产生灼烧感,能够起到降血压和胆固醇的功效,进而在很大程度上预防心脏病,也能缓解肌肉关节疼痛。辣椒素酯类化合物的结构可以表示为:

其中一种辣椒素酯类化合物J的合成路线如下:
已知:
①A、B和E为同系物,其中B的相对分子质量为44,A和B核磁共振氢谱显示都有两组峰;
②化合物J的分子式为C15H22O4;

(1)G所含官能团的名称为 。
(2)由A和B生成C的化学方程式为 。
(3)由C生成D的反应类型为 ,D的化学名称为 。
(4)由H生成I的化学方程式为 ( )
(5)J的结构简式为 ( )
(6)G的同分异构体中,苯环上的一氯代物只有一种的共有( ) 种(不含立体异构),核磁共振氢谱显示2组峰的是 ( ) (写结构简式)。
正确答案
(1)醚键,(酚)羟基;
解析
(1)由E生成F的反应条件可以判断出F为羧酸,所以I为含有醇羟基的化合物,结合辣椒素酯类化合物的结构特点以及G生成H、H生成I的反应条件可以判断出G的结构简式为:
考查方向
考查有机物的结构、性质、相互转化、同分异构体的书写及相应的化学方程式的书写的知识。
解题思路
(1)由E生成F的反应条件可以判断出F为羧酸,所以I为含有醇羟基的化合物,结合辣椒素酯类化合物的结构特点以及G生成H、H生成I的反应条件可以判断出G的结构简式为:
易错点
不能有效提取题给信息,不注意有机物结构书写造成书写不规范;化学方程式书写缺项或缺少反应条件;有机结构简式中原子间的连接方式表达不正确,写错位;同分异构体种类的判断不能准确把握限定条件导致错误或者判断种类时思维无序导致判断结果错。
正确答案
解析
(2)由A生成B的反应条件以及题给信息可以判断出A为乙醛,所以B中含有5个碳原子,根据B核磁共振氢谱可以判断出B的结构简式为(CH3)CCHO,故答案为
;
考查方向
考查有机物的结构、性质、相互转化、同分异构体的书写及相应的化学方程式的书写的知识。
解题思路
(2)由A生成B的反应条件以及题给信息可以判断出A为乙醛,所以B中含有5个碳原子,根据B核磁共振氢谱可以判断出B的结构简式为(CH3)CCHO;
易错点
不能有效提取题给信息,不注意有机物结构书写造成书写不规范;化学方程式书写缺项或缺少反应条件;有机结构简式中原子间的连接方式表达不正确,写错位;同分异构体种类的判断不能准确把握限定条件导致错误或者判断种类时思维无序导致判断结果错。
正确答案
(3)加成(还原)(1分) 4,4-二甲基-1-戊醇
解析
(3)根据反应条件可以判断出C生成D的反应类型为加成(还原)D的结构简式为
CH3C(CH3)2CH2CH2OH,根据系统命名法确定其名称,故答案为:加成(还原)、 4,4-二甲基-1-戊醇;
考查方向
考查有机物的结构、性质、相互转化、同分异构体的书写及相应的化学方程式的书写的知识。
解题思路
(3)根据反应条件可以判断出C生成D的反应类型为加成(还原)D的结构简式为
CH3C(CH3)2CH2CH2OH,根据系统命名法确定其名称;
易错点
不能有效提取题给信息,不注意有机物结构书写造成书写不规范;化学方程式书写缺项或缺少反应条件;有机结构简式中原子间的连接方式表达不正确,写错位;同分异构体种类的判断不能准确把握限定条件导致错误或者判断种类时思维无序导致判断结果错。
正确答案
解析
(4)H生成I的反应本质为卤代烃的水解反应,同时注意酚羟基与NaOH的反应,故答案为:
考查方向
考查有机物的结构、性质、相互转化、同分异构体的书写及相应的化学方程式的书写的知识。
解题思路
(4)H生成I的反应本质为卤代烃的水解反应,同时注意酚羟基与NaOH的反应;
易错点
不能有效提取题给信息,不注意有机物结构书写造成书写不规范;化学方程式书写缺项或缺少反应条件;有机结构简式中原子间的连接方式表达不正确,写错位;同分异构体种类的判断不能准确把握限定条件导致错误或者判断种类时思维无序导致判断结果错。
正确答案
解析
(5)根据F与I的结构以及酯化反应的实质确定J的结构简式,故答案为:
考查方向
考查有机物的结构、性质、相互转化、同分异构体的书写及相应的化学方程式的书写的知识。
解题思路
(5)根据F与I的结构以及酯化反应的实质确定J的结构简式;
易错点
不能有效提取题给信息,不注意有机物结构书写造成书写不规范;化学方程式书写缺项或缺少反应条件;有机结构简式中原子间的连接方式表达不正确,写错位;同分异构体种类的判断不能准确把握限定条件导致错误或者判断种类时思维无序导致判断结果错。
正确答案
8种
考查方向
考查有机物的结构、性质、相互转化、同分异构体的书写及相应的化学方程式的书写的知识。
解题思路
由G的结构简式


。
易错点
不能有效提取题给信息,不注意有机物结构书写造成书写不规范;化学方程式书写缺项或缺少反应条件;有机结构简式中原子间的连接方式表达不正确,写错位;同分异构体种类的判断不能准确把握限定条件导致错误或者判断种类时思维无序导致判断结果错。
9.有机物M的结构如图所示。关
正确答案
解析
A.分
B.官能团有羧基能发生中和反应、取代反应、醇羟基能发生消去、氧化等反应、碳碳双键能发生加成反应等,故B正确;
C.1 molM与溴水发生加成反应的产物就可能有4种(1:1加成3种,1:2加成1种),故C错误;
D.1molM与足量氢氧化钠溶液反应,消耗3molNaOH(1个羧基消耗1个NaOH、1个碳酸氢酯水解后生成Na2CO3消耗2个NaOH),故D错误。
考查方向
解题思路
从官能团的决定性出发解题。
易错点
1 molM与溴水发生反应的产物可能有3种;1molM与足量氢氧化钠溶液反应,消耗4molNaOH。
知识点
莫沙朵林F是一种镇痛药,可通过木聚糖A按以下路线合成:
41.有机物B中官能团的名称为____________________。有机物C中的碳碳双键如何检验 。
42.写出同时满足下列条件的E的一种同分异构体的结构简式 。Ⅰ.存在四种不同化学环境的氢原子; Ⅱ.能发生银镜反应和水解反应;Ⅲ.能与FeCl3溶液发生显色反应。
43.已知E+X→F为加成反应,写出该反应的化学方程式 。
THF
44.已知:





正确答案
41.醛基、羟基取少量C于试管中,先加入银氨溶液,加热,然后酸化后滴入溴水,震荡,溶液褪色,证明含有碳碳双键。
解析
(41)根据B物质的结构简式可知,化合物中含官能团的名称为酯基、羟基。化合物C结构中存在碳碳双键和醛基,因此需要考虑之间的相互影响,故要保护醛基进行检验碳碳双键,因此采用加成法检验,取少量C于试管中,先加入银氨溶液,加热,然后酸化后滴入溴水,震荡,溶液褪色,证明含有碳碳双键。
考查方向
解题思路
有机合成体关键抓住官能团性质以及反应机理
易错点
题目信息处理及提取,有机反应机理
正确答案
解析
(42)能发生银镜反应和水解反应,这说明分子中含有酯基和醛基。能与FeCl3溶液发生显色反应,说明分子中含有酚羟基。又因为核磁共振氢谱有4个峰,所以应该是甲酸形成的酯,则可能的结构简式有
考查方向
解题思路
有机合成体关键抓住官能团性质以及反应机理
易错点
题目信息处理及提取,有机反应机理
正确答案

解析
(43)根据EF的结构简式并根据原子守恒可知,该反应应该是加成反应,所以X的结构简式应该是CH3N=C=O。
考查方向
解题思路
有机合成体关键抓住官能团性质以及反应机理
易错点
题目信息处理及提取,有机反应机理
正确答案
44.
考查方向
解题思路
有机合成体关键抓住官能团性质以及反应机理
易错点
题目信息处理及提取,有机反应机理
9.下列说法中,不正确的是
正确答案
解析
酚的酸性是介于碳酸和
考查方向
解题思路
知道酚与碳酸钠反应生成碳酸氢钠
易错点
酚的酸性是介于碳酸和
知识点
2.某有机物X的结构简式如下图所示,则下列有关说法中正确的是()
正确答案
解析
A.由有机物结构简式可知有机物分子式为C12H14O3,故A错误;
B. 有机物X中含有碳碳双键,可和酸性高锰酸钾溶液氧化反应。
C.有机物X中含苯环,碳氧双键,碳碳双键皆为平面结构,若单键可以旋转,碳氧双键和碳碳双键也位于单键碳原子的四面体顶点,有机物X在同一平面上的碳原子数可能为7。
D.能与氢气发生加成反应的为苯环和碳碳双键,则1mol X最多只能与4mol H2加成,故C错误。
考查方向
解题思路
有机物含有酯基,可发生水解,含有碳碳双键,可发生加成、加聚和氧化反应,含有羟基,可发生取代、氧化反应,以此解答该题。
易错点
1、苯环,碳氧双键,碳碳双键皆为平面结构,单键碳原子为四面体结构。
2、酯基,可发生水解;碳碳双键,可发生加成、加聚和氧化反应;羟基,可发生取代、氧化反应。
知识点
10.下列实验中能达到实验目的的是
正确答案
解析
A.由于活动性Cl2>Br2,所以若用氯气氧化HBr,应该是入气导管伸入到液面下,出气导管露出橡胶塞即可,A正确;B.容量瓶只有一个刻度,不能用于量取100.00mL溶液,B错误;C用蒸馏法将萃取液中的苯与碘进行分离,但是温度计应该测量蒸汽的温度,不应该插入液面下,C错误;D.在蒸发皿中加热温度较低,不能使碳酸钠固体熔融,D错误; 故选B。
考查方向
解题思路
A.由于活动性Cl2>Br2,所以若用氯气氧化HBr,应该是入气导管伸入到液面下,出气导管露出橡胶塞即可;B.容量瓶只有一个刻度,不能用于量取100.00mL溶液;C.用蒸馏法将萃取液中的苯与碘进行分离,但是温度计应该测量蒸汽的温度,不应该插入液面下;D.在蒸发皿中加热温度较低,不能使碳酸钠固体熔融;
易错点
本题考查混合物分离、提纯的方法及选择,为高频考点,把握物质的性质及性质差异、混合物分离方法为解答的关键,注重实验基础知识和基本技能的考查,选项C为解答的难点,题目难度不大。
知识点
以有机物A和苯酚为原料合成一种医药中间体E的路线如下:

已知A的分子式为C2H2O3,可发生银镜反应,且具有酸性。写出A发生银镜反应的化学方程式( )
有机物B
写出B与过量Na2CO3溶液反应的化学方程式( ) 。
副产物D是由2分子B生成的含有3个六元环的化合物,D的结构简式是()
已知苯酚钠和苯酚相比,不易被氧化。现由有机物B制备
写出符合下列条件的E的所有同分异构体的结构简式 ( )(不考虑立体异构)。
①苯环上只有2个位置未被取代,且这两个位置上的氢原子化学环境相同;
②与FeCl3溶液不发生显色反应;
③能发生银镜反应。
正确答案
解析
已知A的分子式为C2H2O3,可发生银镜反应,且具有酸性。且有

考查方向
有机物性质与合成路线流程、同分异构。
解题思路
严格遵循官能团决定性质、性质反映官能团去追寻物质的结构特点。
易错点
B与过量Na2CO3溶液反应的化学方程式、D的结构简式、同分异构体。
正确答案
③>①>②
解析
有机物B
考查方向
有机物性质与合成路线流程、同分异构。
解题思路
严格遵循官能团决定性质、性质反映官能团去追寻物质的结构特点。
易错点
B与过量Na2CO3溶液反应的化学方程式、D的结构简式、同分异构体。
正确答案
解析
联想乳酸的双分子酯化为六元环,B中
。
考查方向
有机物性质与合成路线流程、同分异构。
解题思路
严格遵循官能团决定性质、性质反映官能团去追寻物质的结构特点。
易错点
B与过量Na2CO3溶液反应的化学方程式、D的结构简式、同分异构体。
正确答案
NaOH溶液; Cu、O2、加热(合理即得分); 盐酸溶液
解析
利用信息:苯酚钠和苯酚相比,不易被氧化。推知:氧化醇羟基为羰基之前,先要让酚羟基生成酚钠而保护起来,氧化醇羟基完成后,酸化还原。故由有机物B制备
考查方向
有机物性质与合成路线流程、同分异构。
解题思路
严格遵循官能团决定性质、性质反映官能团去追寻物质的结构特点。
易错点
B与过量Na2CO3溶液反应的化学方程式、D的结构简式、同分异构体。
正确答案
解析
①苯环上只有2个位置未被取代,且这两个位置上的氢原子化学环境相同——即对称H;
②与FeCl3溶液不发生显色反应——苯环上不能有羟基;
③能发生银镜反应——有醛基。
④E有不饱和度5,苯环占有4,另一个不饱和度为醛基,且—Br也一定,基于对称考虑,官能团—CHO与—Br在苯环上只能且唯一的站在对位——即
考查方向
有机物性质与合成路线流程、同分异构。
解题思路
严格遵循官能团决定性质、性质反映官能团去追寻物质的结构特点。
易错点
B与过量Na2CO3溶液反应的化学方程式、D的结构简式、同分异构体。
扫码查看完整答案与解析

































