- 绿色化学
- 共179题
6.化学与环境、工农业生产等密切相关,下列叙述错误的是()
正确答案
解析
解析已在路上飞奔,马上就到!
知识点
7.PM2.5是指大气中直径小于或等于2.5微米的颗粒物,是灰霾天气的主要原因,它主要来自化石燃料的燃烧(如机动车尾气、燃煤)等,下列与PM2.5相关的说法不正确的是()
正确答案
解析
解析已在路上飞奔,马上就到!
知识点
6.中央十七大报告中指出,应加强能源资源节约和生态环境保护,增强可持续发展能力。下列做法与之不相符的是( )
正确答案
解析
解析已在路上飞奔,马上就到!
知识点
6.化学与生活、生产、社会关系密切。下列叙述正确的是( )
正确答案
解析
解析已在路上飞奔,马上就到!
知识点
8.PM2.5是指大气中直径小于或等于2.5微米的颗粒物,也叫可入肺颗粒物,与肺癌、哮喘等疾病密切相关,主要来自汽车尾气、燃煤等,下列与PM2.5相关的说法不正确的是( )
正确答案
解析
解析已在路上飞奔,马上就到!
知识点
8. 化学与生产、生活密切相关,下列叙述错误的是( )
正确答案
解析
解析已在路上飞奔,马上就到!
知识点
(第18-1、18-2题为《有机化学基础》模块题,第19-1、19-2题为《物质结构与性质》模块题,第20-1、20-2题为《化学与技术》模块题。考生只能从三个模块中任选一个作答,不得跨模块答题,否则只能以所答的第一个模块计分。
《有机化学基础》
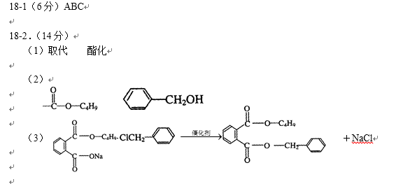
18-1.(6分,该题为多项选择题,全选对得6分,漏选按比例给分,错选或多选为0分)
洋蓟素是一种新结构类型的抗乙型肝炎病毒和抗艾滋病病毒的化合物,其结构如下图所示,有关洋蓟素的说法正确的是 ( )

B.一定条件下能发生酯化反应和消去反应
C.发生水解反应,水解后生成两种物质
D.1mol洋蓟素最多可与11molNaOH反应
E.1mol洋蓟素最多可与5molBr2反应
18-2.(14分)某有机物J(C19H20O4)不溶于水,毒性低,与聚氯乙烯、聚乙烯等树脂具有良好相容性,是塑料工业主要增塑剂,可以用下列方法合成之:
已知:
合成路线:
上述流程中:(ⅰ)反应 A→B仅发生中和反应,(ⅱ)F与浓溴水混合不产生白色沉淀。
(1)指出反应类型:反应② ( ) 反应④ ( ) 。
(2)写出结构简式:Y ( ) F ( ) 。
(3)写出B+E→J的化学方程式 ( ) 。
(4)写出E的属于芳香烃衍生物的同分异构体的结构简式: ( ) 、 ( ) 。《物质结构与性质》19-1.(6分,该题为多项选择题,全选对得6分,漏选按比例给分,错选或多选为0分)
下列说法正确的是 ( )
A.NH3和H2O的中心原子都是SP3杂化
B.随着核电荷数的递增,同主族元素的单质熔点不断升高
C.苯和乙烷的蒸发时破坏的作用力是一样的
D.金刚石和石墨都属于原子晶体
E.在晶体中只要有阴离子就一定有阳离子19-2.(14分)

A、F原子的最外层电子数均等于其周期序数,F原子的电子
层数是A的3倍;B原子核外电子分处3个不同能级,且每个
能级上排布的电子数相同;A与C形成的最简单分子为三角锥
形;D原子p轨道上成对电子数等于未成对电子数;E原子核
外每个原子轨道上的电子都已成对,E电负性小于F。
⑴ 写出B的基态原子的核外电子排布式 ( ) 。
⑵ A、C形成的最简单分子极易溶于水,其主要原因是 ( ) ;与该最简单分子互为等电子体的阳离子为 ( ) 。
⑶ 比较E、F的第一电离能:E ( ) F(选填“>”或“<”=。
⑷ BD2在高温高压下所形成的晶胞如右图所示。该晶体的类型属于(选填“分子”、“原子”、“离子”或“金属”)晶体,该晶体中B原子的杂化形式为 ( ) 。
⑸光谱证实单质F与强碱性溶液反应有[F(OH)4]—生成,则[F(OH)4]—中存在 。
a.共价键 b.非极性键 c.配位键 d.σ键 e.π键
《化学与技术》20-1.(6分,该题为多项选择题,全选对得6分,漏选按比例给分,错选或多选为0分)
为全面推动国际旅游岛建设,大力发展绿色产业,保护和改善自然环境,据此下列各项措施符合海南省发展方向的是: ( )
A.发展水电核电,充分利用太阳能、风能、潮汐能发电以减少火力发电带来的二氧化硫和二氧化碳排放问题
B.发展低碳经济、循环经济、积极推行“限塑令”,加快研发利用二氧化碳合成的聚碳酸酯类可降解塑料
C.依托南海资源,大力发展石油化工产业,打破传统的产业结构
D.加速建设城际轻轨,发展改善城市公交系统,减少汽车尾气排放
E.推行垃圾分类,对未经分类的生活垃圾和工业垃圾使用填埋法处理20-2.(14分)
工业上电解制碱的技术是用离子交换膜法,主要原料是饱和食盐水。
请回答下列问题:
电解槽中部的阳离子交换膜把电解槽隔成了阴极室和阳极室,
它只允许 ( ) (填离子符号,下同)通过,
而不允许 ( ) 和气体通过。
电解法制碱的主要原料饱和食盐水是由粗盐制得,其中含有泥沙
及Ca2+、 Mg2+ 、Fe3+、 SO42-等杂质,因此必须精制。
精制时所用试剂为① NaOH ② Na2CO3 ③ BaCl2④ 盐酸,
这四种试剂的添加顺序为 ( ) (填序号)。
氯碱工业是高耗能产业,一种将电解池与燃料电池相组合的新工艺可以节(电)能30%以上。在这种工艺设计中,相关物料的传输与转化关系如下图所示,其中的电极未标出,所用的离子膜都只允许阳离子通过。
① 图中X、Y分别是 ( ) 、 ( ) (填化学式),分析比较图示中氢氧化钠
质量分数 a%与b%的大小 ( ) ;
②分别写出燃料电池B中正极、负极上发生的电极反应正极: ( ) ; 负极: ( ) ;
③这样设计的主要节(电)能之处在于(写出2处) ( ) 、 ( ) 。
正确答案
解析
解析已在路上飞奔,马上就到!
知识点
6. 近年来,食品安全问题受到越来越多的关注,下列有关说法错误的是 ( )
正确答案
解析
解析已在路上飞奔,马上就到!
知识点
28.“温室效应”是哥奉哈根世界气候变化大会研究的环境问题之一。CO2气体在大气层中具有吸热和隔热的功能,是主要的温室气体。
(1)下列措施中,有利于降低大气中CO2浓度的是_________(填字母编号)。
a.采用节能技术,减少化石燃料的用量
b.鼓励乘坐公交车出行,倡导“低碳”生活
c.利崩太阳能、风能等新型能源替代化石燃料 ·
(2)CH4是另一种主要的温室气体,l克甲烷完全燃烧生成液态水和二氧化碳,放出55.64 kJ的热量,甲烷的燃烧热是___________。
(3)酸阿的形成主要是由废气中的SOx和NOx造成的。通过SO2和Br2、H2O的定量反应在电解池中产生的电流变化,可以准确测定空气中SO2的含量。该反应的化学方程式为________,反应中氧化产物和还原产物的物质的量之比为__________。
(4)某硫酸工厂以黄铁矿为原料生产硫酸。
第一阶段燃烧黄铁矿的化学方程式为___________;
第二阶段的反应原理是2SO2(g)+O2(g)
a. SO2为5mol·L-1,O2为3.5mol·L-1
b. SO2为3mol·L-1
c.SO2、SO3均为2.5mol·L-1
d.SO3为5mol·L-1
正确答案
(1)a、b、c(少填扣1分)
(2)890.24kJ·mol-1
(3)SO2+Br2+2H2O=2HBr+H2SO4 1:2
(4)4FeS2+11O2
解析
解析已在路上飞奔,马上就到!
知识点
6.以下观点,你认为不合理的是( )
正确答案
解析
解析已在路上飞奔,马上就到!
知识点
扫码查看完整答案与解析





