- 三角函数的概念、同角三角函数的关系式和诱导公式
- 共714题
1
题型:
单选题
|
3.设


正确答案
B
解析
解析已在路上飞奔,马上就到!
知识点
任意角的概念
1
题型:填空题
|
8.在正三棱锥







正确答案
解析
解析已在路上飞奔,马上就到!
知识点
任意角的概念
1
题型:简答题
|
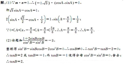
18. 已知A,B,C是△ABC的三内角,向量
(1)求角A;
(2)若
正确答案
解析
解析已在路上飞奔,马上就到!
知识点
任意角的概念
1
题型:
单选题
|
3.若




正确答案
A
解析
解析已在路上飞奔,马上就到!
知识点
任意角的概念
1
题型:简答题
|
20. 









正确答案
解:由
可得
所以
故由
可得
而

故


解析
解析已在路上飞奔,马上就到!
知识点
任意角的概念
1
题型:填空题
|
12.对于正整数n和m(m<n)定义

正确答案
解析
解析已在路上飞奔,马上就到!
知识点
任意角的概念
1
题型:简答题
|
16.三角形ABC中,内角A,B,C所对边a,b,c成公比小于1的等比数列,且
(1)求内角B的余弦值;
(2)若
正确答案
解析
解析已在路上飞奔,马上就到!
知识点
任意角的概念
1
题型:填空题
|
13.已知


正确答案
-4/5
解析
解析已在路上飞奔,马上就到!
知识点
任意角的概念
1
题型:填空题
|
12.若

正确答案
解析
解析已在路上飞奔,马上就到!
知识点
任意角的概念
1
题型:
单选题
|
4.已知


正确答案
A
解析
解析已在路上飞奔,马上就到!
知识点
任意角的概念
下一知识点 : 三角函数的图象与性质
扫码查看完整答案与解析






















