- 平面向量的坐标运算
- 共30题
4.已知

正确答案
解析
由题意,得


考查方向
解题思路
1)由题意得到

2)利用平面向量的的模长公式进行求解.
易错点
本题易在求
知识点
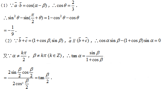
17.在






(1)若

(2)若


正确答案
(1)
(2)

解析
解析已在路上飞奔,马上就到!
知识点
9.已知向量



正确答案
解析
解析已在路上飞奔,马上就到!
知识点
15.已知


(1)若


(2)若




正确答案
解析
解析已在路上飞奔,马上就到!
知识点
9.对于平面向量D={a|a=(x,y),x∈R,y∈R},我们作如下规定:对于任意两个向量a1=(x1,y1),a2=(x2,y2),当且仅当“x1>x2”或“x1=x2且y1>y2”,则“a1≫a2”按上述定义的关系“≫”,给出如下四个命题:
①若a1=(-1,2),a2=(1,-1),0=(0,0),则a1≫0≫a2;
②若a1≫a2,a2≫a3,则a1≫a3;
③若a1≫a2,a3≫a4,则对于任意a1+a3≫a2+a4.
其中真命题的序号为________.
正确答案
②③
解析
对于①,若a1=(-1,2),a2=(1,-1),0=(0,0),根据“≫”定义知a2≫0≫a1成立,所以a1≫0≫a2不正确;
对于②,设a1=(x1,y1),a2=(x2,y2),a3=(x3,y3),若a1≫a2,a2≫a3,
则

或
得x1>x3或x1=x3且y1>y3,即a1≫a3成立;
对于③,设a1=(x1,y1),a2=(x2,y2),a3=(x3,y3),a4=(x4,y4)若a1≫a2,则x1>x2或x1=x2且y1>y2,若a3≫a4,则x3>x4或x3=x4且y3>y4,则x1+x3>x2+x4或x1+x3=x2+x4且y1+y3>y2+y4,即a1+a3≫a2+a4成立,故②③为真命题
知识点
2.已知向量
正确答案
解析
由向量


考查方向
本题主要考查了平面向量的平行关系。
解题思路
本题考查平面向量的平行关系,解题步骤如下:利用平行的坐标公式求解。
易错点
本题必须注意坐标表示。
知识点
11.有一列向量






正确答案

解析
由题可知,差向量为(1,1),则向量an=(-21+n,12+n)。所以|an|2=(-21+n)2+(12+n)2=2n2-18n+585,则当n=4或5时取到最小值。
考查方向
本题主要考查了向量的模及新定义。
解题思路
本题考查向量的模,按照定义求解。
易错点
本题要注意按照定义求解。
知识点
2.已知向量a=(2,x).b=(一4,2).若(a十b)∥(2a-b),则实数x的值为( )
正确答案
解析
本题属于平面向量中的基本问题,题目的难度是简单。
考查方向
本题主要考查了平面向量的平行的坐标表示,在近几年的各省高考题出现的频率较高。
解题思路
无
易错点
本题易在应用平行的坐标表示公式时发生错误。
知识点
2.已知向量a=(2,x).b=(一4,2).若(a十b)∥(2a-b),则实数x的值为( )
正确答案
解析
试题分析:本题属于平面向量中的基本问题,题目的难度是简单。
考查方向
本题主要考查了平面向量的平行的坐标表示,在近几年的各省高考题出现的频率较高。
解题思路
本题考查平面向量的位置关系,解题步骤如下:
(1)由题可知,易得a+b=(-2,x+2),2a-b=(8,2x-2)。
(2)令8(x+2)=-2(2x-2),解得x= -1.
易错点
本题易在应用平行的坐标表示公式时发生错误。
知识点
17.已知数列{an}的前n项和为Sn ,向量a= (S n ,1),b= (2n — 1, 


①求数列{bn}的通项公式,
②设Cn =
正确答案
(1)
(2)①
解析
(1)∵






(2)①∵








考查方向
数列的通项公式和求和
解题思路
(1)利用
(2)①利用

易错点
1、利用定义求通项公式
2、第二问中错位相减法计算的准确性;
知识点
扫码查看完整答案与解析














