- 导数的加法与减法法则
- 共610题
1
题型:
单选题
|
3.若偶函数

正确答案
C
解析
解析已在路上飞奔,马上就到!
知识点
导数的加法与减法法则
1
题型:简答题
|
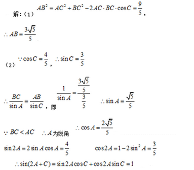
16.在



(1)求边
(2)求
正确答案
解析
解析已在路上飞奔,马上就到!
知识点
导数的加法与减法法则
1
题型:简答题
|
17.为了解某市的交通状况,现对其6条道路进行评估,得分分别为:5,6,7,8,9,10.规定评估的平均得分与全市的总体交通状况等级如下表:
(1)求本次评估的平均得分,并参照上表估计该市的总体交通状况等级;
(2)用简单随机抽样方法从这



正确答案
解析
解析已在路上飞奔,马上就到!
知识点
导数的加法与减法法则
1
题型:
单选题
|
12.定义在







正确答案
B
解析
解析已在路上飞奔,马上就到!
知识点
导数的加法与减法法则
1
题型:
单选题
|
6.若




正确答案
D
解析
解析已在路上飞奔,马上就到!
知识点
导数的加法与减法法则
1
题型:
单选题
|
4.下列函数中,周期为1的奇函数是( )
正确答案
B
解析
解析已在路上飞奔,马上就到!
知识点
导数的加法与减法法则
1
题型:
单选题
|
1.若复数

正确答案
D
解析
解析已在路上飞奔,马上就到!
知识点
导数的加法与减法法则
1
题型:
单选题
|
9.已知m是两个正数2和8的等比中项,则圆锥曲线
正确答案
D
解析
解析已在路上飞奔,马上就到!
知识点
导数的加法与减法法则
1
题型:
单选题
|
6.设点






正确答案
C
解析
解析已在路上飞奔,马上就到!
知识点
导数的加法与减法法则
1
题型:
单选题
|
11.已知函数

正确答案
C
解析
解析已在路上飞奔,马上就到!
知识点
导数的加法与减法法则
下一知识点 : 导数的乘法与除法法则
扫码查看完整答案与解析



































