- 两圆的公切线条数及方程的确定
- 共49题
正确答案
解析
略
知识点
直线




正确答案

解析
略
知识点




正确答案
解析
略
知识点
设函数f(x)的定义域为R,若存在常数M>0,使得|f(x)|≤M|x|对一切的实数x都成立,则称f(x)为“倍约束函数”,现给出下列函数:
①f(x)=2x,
②f(x)=x2+1,
③f(x)=sinx+cosx,
④<“m“:math dsi:zoomscale=150 dsi:_mathzoomed=1>f(x)=xx2﹣x+3
⑤f(x)是定义在实数集上的奇函数,且对一切的x1,x2均有|f(x1)﹣f(x2)|≤2|x1﹣x2|,
其中是“倍约束函数”的有( )
正确答案
解析
∵对任意x∈R,存在正数M,都有|f(x)|≤M|x|成立
∴对任意x∈R,存在正数K,都有 M≥
∴对于①f(x)=2x,易知存在M=2符合题意;
对于②,


对于③,f(x)=sinx+cosx,由于x=0时,|f(x)|≤M|x|不成立,故③错误;
对于④



对于⑤,当x1=x,x2=0时,由|f(x1)﹣f(x2)|≤2|x1﹣x2|得到|f(x)|≤2|x|成立,这样的M存在,故⑤正确;
故是“倍约束函数”的函数有3个
故选C。
知识点
如图,某机场建在一个海湾的半岛上,飞机跑道









(1)将

(2)求点

正确答案
见解析
解析
(1)过A分别作直线CD、BC的垂线,垂足分别为E,F.
由题设知,∠ABF=30°,∴
又

∴

即
(2)记


而
∴


函数


而



答:在海岸线l上距离C点6km处的D点观看飞机跑道的视角最大。………………………13分
知识点
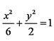
已知椭圆











(1)求椭圆
(2)当四边形

正确答案
(1)
解析
(1)由题意可得



故椭圆的方程为
(2)由题意可知直线





由

所以
因为
所以

因此直线

由


因为四边形

即
所以
所以
解得


知识点
10.在平面上,




正确答案
解析
解析已在路上飞奔,马上就到!
知识点
18.设复数




正确答案




∴
解析
解析已在路上飞奔,马上就到!
知识点
13.某连队身高符合建国60周年国庆阅兵标准的士兵共有45人,其中18岁~21岁的士兵有15人,22岁~25岁的士兵有20人,26岁~29岁的士兵有10人,若该连队有9个参加国庆阅兵的名额,如果按年龄分层选派士兵,那么,该连队年龄在26岁~29岁的士兵参加国庆阅兵的人数为________。
正确答案
2
解析
共有45名士兵身高符合国庆阅兵的标准,抽取容量为9的样本,抽样比为

知识点
3.已知





正确答案
解析
解析已在路上飞奔,马上就到!
知识点
扫码查看完整答案与解析

























