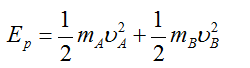
- 功能关系
- 共276题
33.如图(a),磁铁A、B的同名磁极相对放置,置于水平气垫导轨上.A固定于导轨左端,B的质量m=0.5kg,可在导轨上无摩擦滑动.将B在A附近某一位置由静止释放,由于能量守恒,可通过测量B在不同位置处的速度,得到B的势能随位置x的变化规律,见图(c)中曲线I。若将导轨右端抬高,使其与水平面成一定角度(如图(b)所示),则B的总势能曲线如图(c)中II所示,将B在x=20.0cm处由静止释放,求:(解答时必须写出必要的推断说明。取g=9.8 m/s2)
(1)B在运动过程中动能最大的位置;
(2)运动过程中B的最大速度和最大位移;
(3)图(c)中直线III为曲线II的渐近线,求导轨的倾角;
(4)若A、B异名磁极相对放置,导轨的倾角不变,在图(c)上画出B的总势能随x的变化曲线。
正确答案
见解析。
解析
(1)势能最小处动能最大
由图线II得
(在5.9 ~ 6.3cm间均视为正确)
(2)由图读得释放处势能

(
最大速度为
(
x=20.0 cm处的总能量为0.90J,最大位移由E=0.90J的水平直线与曲线II的左侧交点确定,由图中读出交点位置为x=2.0cm,因此,最大位移
(
(3)渐近线III表示B的重力势能随位置变化关系,即

∴
由图读出直线斜率
(

(4)若异名磁极相对放置,A,B间相互作用势能为负值,总势能如图。
知识点
如图所示,可视为质点的物块



























(1)未施加力


(2)


(3)


正确答案
见解析。
解析
(1)三物块均静止时,以

由力的平衡得:
解得:
(2)当




由牛顿第二定律得:
解得

(3)以



解得:
从
电场力做功为
重力做功为
解得:
知识点
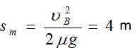
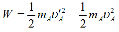
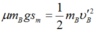
26.如图所示,光滑水平面MN上放两相同小物块A、B,左端挡板处有一弹射装置P,右端N处与水平传送带理想连接. 传送带水平部分长度L=8m,沿逆时针方向以恒定速度υ=6m/s匀速转动. 物块A、B(大小不计)与传送带间的动摩擦因数
(1)物块B沿传送带向右滑动的最远距离。
(2)物块B滑回水平面MN的速度υB′。
(3)若物体B返回水平面MN后与被弹射装置P弹回的A在水平面上相碰,且A、B碰后互换速度,则弹射装置P必须给A做多少功才能让AB碰后B能从Q端滑出。
正确答案
(1)解除锁定弹开AB过程中,系统机械能守恒:

以

由①②得:
B滑上传送带匀减速运动,当速度减为零时,滑动的距离最远。由动能定理得:

所以
(2)物块B沿传送带向左返回时,做匀加速运动,
由动能定理得:
则
(3)设弹射装置给A做功为
由动能定理得:
AB碰后速度互换,B的速度
B要滑出平台Q端,由动能定理有:
又
所以,由⑤⑥⑦得
解得
解析
解析已在路上飞奔,马上就到!
知识点
19.如图所示,光滑斜面倾角为
正确答案
解析
解析已在路上飞奔,马上就到!
知识点
20.如图,质量为m的小车静止在光滑的水平地面上,车上有半圆形光滑轨道,现将质量也为m 的小球在轨道左侧边缘由静止释放,则( )
正确答案
解析
解析已在路上飞奔,马上就到!
知识点
18.电子束焊接机中的电子枪如图所示,K为阴极,A为阳极,阴极和阳极之间的电场线如图中虚线所示,A上有一小孔,阴极发散的电子在阴极和阳极间电场作用下聚集成一束,以极高的速率穿过阳极上的小孔,射到被焊接的金属上,使两块金属熔化而焊接到一起,不考虑电子重力,下列说法正确的是( )
正确答案
解析
解析已在路上飞奔,马上就到!
知识点
18.如图所示,匀强电场E方向水平向左,带有正电荷的物体沿绝缘水平面向右运动,经过A点时动能是200J,经过B点时,动能是A点的 

正确答案
解析
解析已在路上飞奔,马上就到!
知识点
20.一半径为R的均匀带正电圆环水平放置,环心为O点,质量为m的带正电的小球从O点正上方h高的A点静止释放,并穿过带电环,关于小球从A运动到与O对称的点A′的过程中,其加速度(a)、重力势能(EpG)、机械能(E)、电势能(Ep电)随位置变化的图象如图所示 (取0点为坐标原点且重力势能为零,向下为加速度的正方向,并取无限远处电势为零) 。其中可能正确的是( )
正确答案
解析
解析已在路上飞奔,马上就到!
知识点
21.如图所示,两质量相等的物块A,B,A通过一轻质弹簧与一竖直的墙面连接,B足够长,并放置在水平面上,A与B间动摩擦因数为



正确答案
解析
解析已在路上飞奔,马上就到!
知识点
24.如图所示的装置,其中AB部分为一水平传送带,并以v = 6m/s速度顺时针匀速转动BCD部分为一半径R=0.5m,竖直放置的光滑半圆形轨道,直径BD恰好竖直,并与传送带相切于B点。现将一质量为0.4kg的可视为质点的小滑块无初速地放在传送带的左端A点上,已知滑块与传送带间的动摩擦因数μ=0.5。(g=10m/s2)。
(1)要使小滑块通过轨道上的D点,求传送带AB的长度L至少多长。
(2)若传送带的长度L = 4m,仍使小物块轻放在传送带左端A点,求传送过程中小滑块与传送带间的摩擦产生的热量和电动机因传送小物块多消耗的电能。
正确答案
解析
解析已在路上飞奔,马上就到!
知识点
扫码查看完整答案与解析









































