- 直线与椭圆的位置关系
- 共59题
21.(本小题满分14分)
平面直角坐标系



(I)求椭圆C的方程;
(II)设P是E上的动点,且位于第一象限,E在点P处的切线
(i)求证:点M在定直线上;
(ii)直线



正确答案
知识点
20.阅读下面的材料,根据要求写一篇不少于800字的文章。
近年来,以奇山异水和悠久历史文化而闻名的某旅游城市,虽然其市区公共交通在不断完善,可自从限摩以后,在私家车迅猛增多的同时,还有不少市民选择骑电动车出行。为初步有效管理这种“新型”交通工具,市某综合管理部门曾于前两年给这些超标电动车(行驶速度大于每小时20公里、车身总重量大于40公斤等指标)上了牌照,算是给予它们临时合法的出行身份,但是牌照有效期到今年2月底止,这也就是说,从今年3月1日起,该市城区4万多辆超标电动车已被禁行,违者将受到严厉的处罚。
一方面是诸多管理的必要,一方面是便捷出行的需求;事实上要彻底禁行这几万辆超标电动车,管理者和骑行者都会感到很不容易。
假定你也是在该市市区生活的市民,请以管理部门代言人或超标电动车骑行者身份就禁行超标电动车这事表达你的看法。
要求选定你的写作身份,选好角度,确定立意,明确文体,自拟标题;不要脱离材料内容及含意的范围作文,不要套作,不得抄袭。
正确答案
略
解析
这则材料需要考生首先明确写作身份,是要以骑行者的身份来谈对禁行超标电动车这件事的看法,还是要以管理部门代言人的身份来谈对这件事的看法,不能两种角度都谈。但无论你选择哪一方,都因首先说明你支持或不支持的原因,然后分析其利弊,需要注意的是在分析利弊的时候不能只站在个人的角度,而应从整体出发,从对整个市区影响的角度去看待问题。论证时要有理有据,论据要真实,不能只是空发牢骚。
所以可以这样构思:确定身份,明确看法,说出原因,分析利弊,提出解决问题的办法。只要能自圆其说即可。
考查方向
解题思路
审清题意,确定立意,查找论据,完成作文。
易错点
此题审题不难,但考生容易陷入空谈,不能有充分的论据证明其观点。
知识点
9.已知直线:


正确答案
解析
直线:y=kx-k+1恒过定点(1,1),利用直线:y=kx-k+1与曲线C:
考查方向
曲线与方程
解题思路
根据等量关系,建立方程,然后求出参数的取值范围
易错点
计算化简错误
知识点
20.已知椭圆


(Ⅰ)求椭圆的方程;
(Ⅱ)若直线y=kx+2交椭圆于A,B两点,求△ABO(O为坐标原点)面积的最大值.
正确答案
(Ⅰ)
(Ⅱ)
解析
(I)由已知得



得椭圆方程为







(II)设

由

所以

所以
令
所以

考查方向
椭圆的方程、几何性质和直线与椭圆的位置关系中的面积问题
解题思路
本题考查了椭圆的方程、几何性质和直线与椭圆的位置关系中的面积问题,其中面积是本题解得的难点,解答时应结合图形的特征把



易错点
本题中主要是在求点坐标时易错,在联立方程用韦达定理时运算量大易错。
知识点
11.已知椭圆
正确答案
解析
设F1A=x, F2A=y,由题可知,x+y=2a,x2+y2=4c2,2x+√2x=4a,联立方程组,代换得
a2(9-6√2)=c2,即e=

考查方向
本题主要考查直线与椭圆的位置关系
解题思路
1、用a,c表示出F1A,F2A;
2、将所求式子联立,即可得到结果。A选项不正确,B选项不正确,C选项不正确,所以选D选项。
易错点
本题易在表示a, c关系时发生错误。
知识点
4.已知椭圆

正确答案
解析
因为与直线
考查方向
本题主要考查点到直线的距离,这类试题常和圆锥曲线相关知识一起考查。
解题思路
数形结合,先画出椭圆的大致形状和直线的位置,有且仅有一点的距离为1,找到一条直线与这个椭圆相切的直线。带入方程即可。
易错点
椭圆方程的各种形式的转化,点到直线的距离公式理解不透彻
知识点
(14分)(2015•上海)已知椭圆x2+2y2=1,过原点的两条直线l1和l2分别于椭圆交于A、B和C、D,记得到的平行四边形ABCD的面积为S.
(1)设A(x1,y1),C(x2,y2),用A、C的坐标表示点C到直线l1的距离,并证明S=2|x1y2﹣x2y1|;
(2)设l1与l2的斜率之积为﹣
正确答案
解:(1)依题意,直线l1的方程为y=


因为|AB|=2|AO|=2
(2)方法一:设直线l1的斜率为k,则直线l2的斜率为﹣
设直线l1的方程为y=kx,联立方程组

根据对称性,设x1=

同理可得x2=


方法二:设直线l1、l2的斜率分别为



所以x1x2=﹣2y1y2,
∴

∵A(x1,y1)、C(x2,y2)在椭圆x2+2y2=1上,
∴(





即﹣4x1x2y1y2+2(

所以(x1y2﹣x2y1)2=

所以S=2|x1y2﹣x2y1|=
知识点
(本小题满分14分)
已知点

(Ⅰ)设椭圆的两个焦点分别为



(Ⅱ)若直线









正确答案
考查方向
易错点
1、未注意到点
知识点
已知椭圆

(1)若已知


(2)求实数
(3)求

正确答案
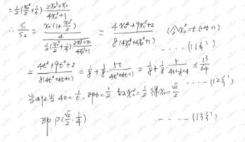
(1)设

于是



因
所以,当

(2)由题意知


由


因为直线

所以,

①将



②由①②得



则 
且




所以
当且仅当
故

解析
本题属于解析几何的综合应用题,题目的难度是偏难,本题的关键是:
(1)、利用两点间的距离公式和点在曲线上的定义求出线段的范围;
(2)、利用设而不求法和中点坐标公式,求出m,b之间的关系,从而求出m的取值范围;
(3)、利用三角形面积公式和点到直线的距离公式,求出面积的表达式
考查方向
本题考查了椭圆与直线的位置关系、函数的取值范围问题的综合应用
易错点
1、




知识点
18.如图,在平面直角坐标系xOy中,已知椭圆

(1)求椭圆的标准方程;
(2)过F的直线与椭圆交于A,B两点,线段AB的垂直平分线分别交直线l和AB于点P,C,若PC=2AB,求直线AB的方程.
正确答案
(1)由题意,得

解得


所以椭圆的标准方程为
(2)当


当





将

则



若


从而


则


因为


此时直线


解析
解析已在路上飞奔,马上就到!
知识点
扫码查看完整答案与解析
































