- 抛物线的定义及应用
- 共187题
13.如图所示,已知抛物线拱形的底边弦长为

正确答案
解析
解析已在路上飞奔,马上就到!
知识点
12.若点P(3,m)在以点F为焦点的抛物线
正确答案
解析
解析已在路上飞奔,马上就到!
知识点
6.已知抛物线

正确答案
解析
解析已在路上飞奔,马上就到!
知识点
25.已知抛物线














(

(


(




正确答案
(





四边形

设直线


解得
伴随直线的解析式为

(


伴随四边形的面积为

故

即抛物线的解析式可能是




抛物线的解析式还可能是




(


伴随直线是

设


∴



当


当

抛物线的解析式为



即
即
故

解析
解析已在路上飞奔,马上就到!
知识点
5.若抛物线

正确答案
解析
解析已在路上飞奔,马上就到!
知识点
13.过抛物线



正确答案
解析
解析已在路上飞奔,马上就到!
知识点
19.已知抛物线

(Ⅰ)当


(Ⅱ)当直线OA,OB的倾斜角之和为45°时,求


正确答案
(1)抛物线
由已知



联立
消

所以
(2)联立





设直线OA,OB的倾斜角分别为α,β,斜率分别为


其中

所以

此时,使(*)式有解的

直线

消去



解析
解析已在路上飞奔,马上就到!
知识点
12.已知函数

正确答案
解析
解析已在路上飞奔,马上就到!
知识点
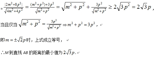
20. 如图,设抛物线方程为

(1)设抛物线上一点P到直线l的距离为d,F为焦点,当
(2)求M到直线AB的距离的最小值。
正确答案
解析
解析已在路上飞奔,马上就到!
知识点
3.已知点A(3,2),F为抛物线

正确答案
解析
解析已在路上飞奔,马上就到!
知识点
扫码查看完整答案与解析


























