- 变化的快慢与变化率
- 共48题
7.根据下列信息推断,荣誉军人王强伤于( )
正确答案
解析
此题考查学生对于民国纪年法应用和历史知识的迁移能力。根据材料荣誉军人王强是在民国27年7月在山东临沂受的伤,可以推断时间是1938年7月,正处于武汉、广州会战期间,故正确答案是C项。A项、B项都是1937年,D项是1940年,都应该排除。
考查方向
解题思路
此题考查学生对于民国纪年法应用和历史知识的迁移能力。根据材料荣誉军人王强是在民国27年7月在山东临沂受的伤,可以推断时间是1938年7月,正处于武汉、广州会战期间,故正确答案是C项。A项、B项都是1937年,D项是1940年,都应该排除。
易错点
本题易错点在于对民国纪年法运算出错而误选。
知识点
2.一个物体的运动方程为



正确答案
解析
∵物体的运动方程为


故选C.
考查方向
解题思路
求出运动方程的导数,据对位移求导即得到物体的瞬时速度,求出导函数在t=3时的值,即为物体在3秒末的瞬时速度
易错点
无
知识点
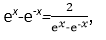
6.已知函数F(x)=ex满足F(x)=g(x)+h(x),且g(x)和h(x)分别是R上的偶函数和奇函数,若∀x∈[1,2]使得不等式g(2x)-ah(x)≥0恒成立,则实数a的取值范围是( )
正确答案
解析
由F(x)=g(x)+h(x)=ex,
得F(-x)=g(-x)+h(-x)=e-x,
即F(-x)=g(x)-h(x)=e-x,
解得
.∀x∈[1,2],g(2x)-ah(x)≥0恒成立,
即得
分离参数得
因为
(当且仅当

所以
知识点
5.





正确答案
解析
解析已在路上飞奔,马上就到!
知识点
12.已知函数f(x)=
正确答案
(-∞,
解析
解析已在路上飞奔,马上就到!
知识点
6.某几何体的三视图如图所示,则该几何体的体积是( ).
正确答案
解析
由三视图可知该几何体是一个直三棱柱ABC-A'B'C'截下一个三棱锥B'-A'C'E,其中AA1=AB=BC=2,BE=1,且AB,BC,BE两两垂直,所以多面体ABC-A'EC'的体积V=VABC-A'B'C'-VA'-B'C'E=
知识点
7. 如果函数


正确答案
解析
因为图象关于点
φ=kπ-8×


考查方向
解题思路
先利用图象关于点对称求出φ的取值集合,然后求出最小值。
易错点
复合三角函数的对称性的应用
知识点
已知函数

当


当



平面区域内,试求
正确答案

解析
当



则

所以曲线



…………………………………………………………………………4分
正确答案

解析
依题意当





设

所以
(1)当




所以
解得

(2)若 




数,
当


由于
(3)当


综上所述,
已知函数

当


当



平面区域内,试求
正确答案

解析
当



则

所以曲线



…………………………………………………………………………4分
正确答案

解析
依题意当





设

所以
(1)当




所以
解得

(2)若 




数,
当


由于
(3)当


综上所述,
扫码查看完整答案与解析






























