- 向量的减法及其几何意义
- 共23题
1
题型:填空题
|
15.已知向量a,b,|a|=1,|b|=2,若对任意单位向量e,均有|a·e|+|b·e|
正确答案
知识点
向量的减法及其几何意义
1
题型:简答题
|
17.在平面直角坐标系

(1)求以线段
(2)设实数


正确答案
(1)因为
则
以线段

(2)因为
所以

解析
解析已在路上飞奔,马上就到!
知识点
向量的模向量的加法及其几何意义向量的减法及其几何意义平面向量数量积的运算量积判断两个平面向量的垂直关系
1
题型:
单选题
|
5.已知向量




正确答案
A
解析
此题中向量垂直的充分必要条件是,
考查方向
平面向量的数量积,向量垂直,充分条件与必要条件
解题思路
根据向量垂直数量积的特点进行求解
易错点
充分条件和必要条件理解错误,向量垂直推出的结论
知识点
向量的减法及其几何意义
1
题型:填空题
|
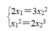
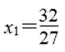
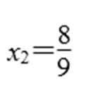
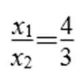
13.阿在平面直角坐标系



切点分别为


正确答案
解析
由题设函数y=x2在A(x1,y1)处的切线方程为:y=2x1 x-x12,
函数y=x3在B(x2,y2)处的切线方程为y=3 x22 x-2x23.
所以 


所以 
考查方向
本题主要考查导数的概念,函数的切线方程.考查运算能力,推理论证能力及灵活运用数学知识能力,难度中等.
解题思路
本题主要考
解题步骤如下:由导数几何意义,写出切线方程。解方程组,得出答案。
易错点
本题易错的地方是不能正确理解导数的几何意义,以及导数公式记错。
知识点
向量的减法及其几何意义
1
题型:填空题
|
5.已知向量




正确答案
解析
解析已在路上飞奔,马上就到!
知识点
向量的减法及其几何意义
下一知识点 : 向量的三角形法则
扫码查看完整答案与解析






