- 三角函数的周期性及其求法
- 共131题
1
题型:简答题
|
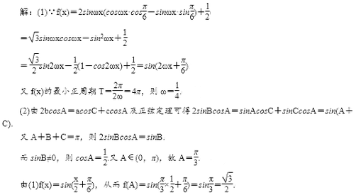
17.已知函数
(1)求正实数ω的值;
(2)在△ABC中,内角A、B、C的对边分别为a、b、c,且满足2bcosA=acosC+ccosA,求f(A)的值。
正确答案
解析
解析已在路上飞奔,马上就到!
知识点
三角函数的周期性及其求法三角函数中的恒等变换应用正弦定理
1
题型:填空题
|
14.函数
正确答案
π
解析
解析已在路上飞奔,马上就到!
知识点
三角函数的周期性及其求法
1
题型:填空题
|
3.函数
正确答案
解析
解析已在路上飞奔,马上就到!
知识点
三角函数的周期性及其求法三角函数中的恒等变换应用
1
题型:填空题
|
23. 下列说法正确的是( )(填上你认为正确的所有命题的序号)
①函数
②函数

③函数

④


⑤函数
正确答案
①③④⑤
解析
解析已在路上飞奔,马上就到!
知识点
充要条件的判定命题的真假判断与应用三角函数的周期性及其求法正弦函数的奇偶性正弦函数的对称性
1
题型:
单选题
|
8.设函数


正确答案
B
解析
解析已在路上飞奔,马上就到!
知识点
三角函数的周期性及其求法正弦函数的单调性正弦函数的对称性函数y=Asin(ωx+φ)的图象变换
1
题型:
单选题
|
2.函数
正确答案
B
解析
解析已在路上飞奔,马上就到!
知识点
三角函数的周期性及其求法诱导公式的作用二倍角的正弦
1
题型:
单选题
|
3.对于函数
正确答案
C
解析
解析已在路上飞奔,马上就到!
知识点
命题的真假判断与应用函数的值域三角函数的周期性及其求法三角函数的最值
1
题型:简答题
|
18. 已知函数
(Ⅰ)求函数

(Ⅱ)求

正确答案
解:(Ⅰ)
(Ⅱ)
所以,
解析
解析已在路上飞奔,马上就到!
知识点
三角函数的周期性及其求法正弦函数的单调性三角函数中的恒等变换应用三角函数的最值
1
题型:
单选题
|
5.已知函数
正确答案
C
解析
解析已在路上飞奔,马上就到!
知识点
三角函数的周期性及其求法正弦函数的单调性正弦函数的对称性三角函数中的恒等变换应用
1
题型:简答题
|
19.若函数
(1)求出函数
(2)求
正确答案
(1)由图知:

∴ 


∴
(2)由(1)得 
∴ 
解析
解析已在路上飞奔,马上就到!
知识点
三角函数的周期性及其求法函数y=Asin(ωx+φ)的图象变换运用诱导公式化简求值
下一知识点 : 正弦函数的图象
扫码查看完整答案与解析













































