- 不等式的性质
- 共451题
若不等式组


正确答案
解析
略
知识点
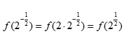
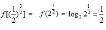
关于




正确答案
解析
设



充要条件是













知识点
设函数




(1)求常数
(2)当



(3)求证:对于任意的正整数

正确答案
见解析
解析
(1) 对


(2)由(1)得

① 当









②当









③当








即

综上可知,所求实数


(3) 对要证明的不等式等价变形如下:
对于任意的正整数

对于









对于




取


因此对于任意正整数

知识点
关于x的不等式ax2﹣|x+1|+3a≥0的解集为(﹣∞,+∞),则实数a的取值范围是 。
正确答案
解析
不等式ax2﹣|x+1|+3a≥0,
则a(x2+3)≥|x+1|,
即a≥
设t=x+1,则x=t﹣1,
则不等式a≥



即a>0,
设f(t)=
当|t|=0,即x=﹣1时,不等式等价为a+3a=4a≥0,此时满足条件,
当t>0,f(t)=


即t=2,即x=1时取等号。
当t<0,f(t)=


当且仅当﹣t=﹣
∴t=﹣2,即x=﹣3时取等号。
∴当x=1,即t=2时,fmax(t)=

∴要使a≥

故答案为:[
知识点
已知

正确答案
答案:
解析
当


知识点
对于任意的x∈R,不等式
正确答案
解析
略
知识点
已知函数
(1)当

(2)若关于



正确答案
(1)
解析
(1)当a=2时, f(x)>4即为|x-2|>1
所以x-2<-1或x-2>1 ……………………2分
即x<1或x>3
所以f(x)>4的解集为{x| x<1或x>3} ……………………4分
(2)由题意得

∴
即|x-a|<2-a,
又因为

又

知识点
已知函数
(1)当

(2)若不等式

正确答案
见解析
解析
解析:(1)由



解得:

(2)由不等式的性质得:
要使不等式

解得:
所以实数

知识点
已知

正确答案
解析
由
而
知识点
已知函数
(1)当

(2)若关于



正确答案
(1)
解析
(1)由题意

解得



(2) 


由题意,不等式




而


知识点
扫码查看完整答案与解析





































