- 直线、圆及圆锥曲线的交汇问题
- 共263题
6.已知双曲线




正确答案
解析
解析已在路上飞奔,马上就到!
知识点
11.动点







正确答案
解析
解析已在路上飞奔,马上就到!
知识点
20.设圆




(I)求圆
(Ⅱ)过点






正确答案
(Ⅰ)设圆F的方程为(x-1)2+y2=r2(r>0).
将y2=4x代入圆方程,得(x+1)2=r2,所以x=-1-r(舍去),或x=-1+r.
圆与抛物线有且只有一个公共点,当且仅当-1+r=0,即r=1.
故所求圆F的方程为(x-1)2+y2=1.
解析
解析已在路上飞奔,马上就到!
知识点
21.已知抛物线






(Ⅰ)判断点F是否在直线BD上;
(Ⅱ)设

正确答案
设




(Ⅰ)将


直线

即
令


(Ⅱ)由①知
因为 


所以
又由①知
故直线BD的斜率
因而直线BD的方程为
因为KF为




由


故圆M的半径
所以圆M的方程为
解析
解析已在路上飞奔,马上就到!
知识点
21.已知椭圆C的离心率
(I)求椭圆C的方程;
(II)设直线x=my+1与椭圆C交于P,Q两点,直线A1P与A2Q交于点S,试问:当m变化时,点S是否恒在一条定直线上?若是,请写出这条直线方程,并证明你的结论;若不是,请说明理由.
正确答案
解析
解析已在路上飞奔,马上就到!
知识点
21.已知抛物线














(1)求证:

(2)若











正确答案
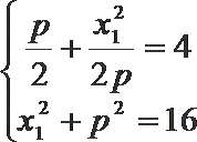
(1)设

所以
所以

又




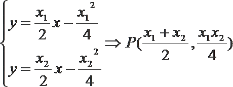
(2)设

由
同理

设

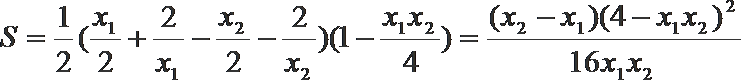
由

得:


令


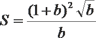
所以当


所以当




所以
解析
解析已在路上飞奔,马上就到!
知识点
15.设







正确答案
解析
解析已在路上飞奔,马上就到!
知识点
20.已知椭圆C:
(1)求椭圆C的方程;
(2)过点Q(4,0)且不与坐标轴垂直的直线l交椭圆C于A、B两点,设点A关于x轴的对称点为A1.求证:直线A1B过x轴上一定点,并求出此定点坐标.
正确答案
解析
解析已在路上飞奔,马上就到!
知识点
11.直线





正确答案
解析
解析已在路上飞奔,马上就到!
知识点
21.已知动点









(1) 求点
(2) 若






正确答案
解析
解析已在路上飞奔,马上就到!
知识点
扫码查看完整答案与解析




































