- 直线、圆及圆锥曲线的交汇问题
- 共263题
10.在平面直角坐标系xOy中,抛物线y2=2px(p>0) 的焦点为F,双曲线
正确答案
y=±2x
解析
抛物线y2=2px(p>0)的焦点为F
双曲线

代入抛物线的方程,可得A
由A,B,F三点共线,可得:
考查方向
解题思路
求得抛物线的焦点,双曲线的渐近线方程,代入抛物线的方程可得A,B,再由A,B,
F共线,可得
易错点
混淆抛物线和双曲线的几何性质,同时计算容易出现错误
知识点
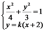
在平面直角坐标系xOy中,点C在椭圆M:



20.求椭圆M的离心率;
21.设椭圆M的焦距为4,P,Q是椭圆M上不同的两点,线段PQ的垂直平分线为直线l,且直线l不与y轴重合.
①若点P(-3,0),直线l过点(0,-
②若直线l过点(0,-1) ,且与x轴的交点为D,求D点横坐标的取值范围.
正确答案
(1)
解析
解:(1)设C (x0,y0),则



因为





得
代入椭圆方程得a2=
因为a2-b2=c2,所以e=
考查方向
解题思路
本题考查直线与椭圆位置关系,解题步骤如下:
(1)设C(m,n),由向量共线的坐标表示,可得C的坐标,代入椭圆方程,可得a,b的关系,
再由离心率公式计算即可得到所求值;
(2)①由题意可得c=2,a=3, b2=5,可得椭圆方程,设直线PQ的方程为y=k(x+3),代入椭圆方程,运用韦达定理和中点坐标公式,再由两直线垂直的条件:斜率之积为-1,解方程可得k,进而得到所求直线方程;
②设直线PQ的方程为y=kx+m,代入椭圆方程可得,运用韦达定理和中点坐标公式,再由两直线垂直的条件,求得4m=5+9k2,再由中点在椭圆内,可得k的范围,再由直线l的方程可得D的横坐标的范围.
易错点
第二问容易计算错误
正确答案
(2)①y=-x+




解析
解:(2)①因为c=2,所以a2=9,b2=5,所以椭圆的方程为
设Q (x0,y0),则
因为点P(-3,0),所以PQ中点为
因为直线l过点(0,-
所以
化简得x02=9-y02-
将②代入①化简得y02-

将y0=



所以PQ斜率为1或

所以直线l的方程为y=-x+


②设PQ:y=kx+m,则直线l的方程为:y=-
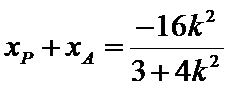
将直线PQ的方程代入椭圆的方程,消去y得(5+9k2)x2+18kmx+9m2-45=0.…………①,
设P(x1,y1),Q(x2,y2),中点为N,
xN=


代入直线l的方程得9k2=4m-5. ……②
又因为△=(18km)2-4(5+9k2) (9m2-45)>0,
化得m2-9k2-5<0.
将②代入上式得m2-4m<0,解得0<m<4,
所以-



综上所述,点D横坐标的取值范围为(-

考查方向
解题思路
本题考查直线与椭圆位置关系,解题步骤如下:
(1)设C(m,n),由向量共线的坐标表示,可得C的坐标,代入椭圆方程,可得a,b的关系,
再由离心率公式计算即可得到所求值;
(2)①由题意可得c=2,a=3, b2=5,可得椭圆方程,设直线PQ的方程为y=k(x+3),代入椭圆方程,运用韦达定理和中点坐标公式,再由两直线垂直的条件:斜率之积为-1,解方程可得k,进而得到所求直线方程;
②设直线PQ的方程为y=kx+m,代入椭圆方程可得,运用韦达定理和中点坐标公式,再由两直线垂直的条件,求得4m=5+9k2,再由中点在椭圆内,可得k的范围,再由直线l的方程可得D的横坐标的范围.
易错点
第二问容易计算错误
12.已知抛物线






正确答案
解析
抛物线









则
因为


考查方向
解题思路
1.先根据抛物线的焦点求出双曲线的方程;
2.设出P点到坐标后表示函数
易错点
1.抛物线的焦点求错导致双曲线的方程出错;
2.不会构造函数求解
知识点
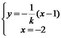
已知A、B分别是椭圆



25.求椭圆C的方程;
26.已知点P是椭圆C上异于A、B的动点,直线l过点A且垂直于x轴,若过F作直线FQ垂直于AP,并交直线l于点Q,证明:Q、P、B三点共线.
正确答案
见解析
解析
抛物线的焦点F(1,0),∵


考查方向
解题思路
利用离心率和椭圆的性质以及抛物线的性质求椭圆的方程,利用直线与圆锥曲线方程证明三点共线。
易错点
计算能力弱
正确答案
见解析
解析
由25题知直线l的方程为x=-2,∵点P异于A,B,∴直线AP的斜率存在且不为0,设AP的方程为




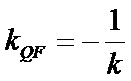
又∵QF⊥AP,




即
考查方向
解题思路
利用离心率和椭圆的性质以及抛物线的性质求椭圆的方程,利用直线与圆锥曲线方程证明三点共线。
易错点
计算能力弱
已知椭圆









20.求椭圆
21.若椭圆


正确答案
解析
解:由已知得




所以


考查方向
解题思路
将“斜率之积为


易错点
解析几何易出现对于直线方程的分类讨论上的错误,再就是直线与曲线联系以后,曲线与直线有两个交点的条件易得忽略,寻求变量之间的联系时,易出现转化和计算、代数整理上的错误。
正确答案

解析
解:假设存在曲线


当
当




与曲线

所以

由韦达定理得:
所以




将(2)式代入(1)式得:




综上所述,

考查方向
解题思路
从反面入手,假设存在曲线








易错点
解析几何易出现对于直线方程的分类讨论上的错误,再就是直线与曲线联系以后,曲线与直线有两个交点的条件易得忽略,寻求变量之间的联系时,易出现转化和计算、代数整理上的错误。
已知直线





25.若


26.若

正确答案
见解析
解析
解:设直线l与椭圆的两个交点坐标为


考查方向
解题思路
联立方程组,消去参数,利用基本不等式判断
易错点
计算错误;找不到最大值
正确答案
见解析
解析


由


当且仅当

又

所以,


考查方向
解题思路
联立方程组,消去参数,利用基本不等式判断
易错点
计算错误;找不到最大值
如图所示的封闭曲线C由曲线




24.求曲线
25.若点Q是曲线

26.若点F为曲线



正确答案
见解析
解析
考查方向
解题思路
根据离心率和点求出曲线
易错点
本题易错于1、曲线方程求错,特别是曲线
正确答案
见解析
解析
考查方向
解题思路
求出直线AB,判定面积最大是恰好是与AB平行且与曲线
易错点
本题易错于
1、曲线方程求错,特别是曲线
2、第二问Q点位置的确定,使用直接法会极大的增加运算过程,且很容易出错,第三问,主要是在圆的几何性质上使用出错
正确答案
见解析
解析
考查方向
解题思路
设出直线方程,利用与曲线

借助圆的几何性质
易错点
本题易错于1、曲线方程求错,特别是曲线
如图,曲线







23.求
24.过点






正确答案
(1)
解析
(Ⅰ)因为抛物线


由因为
考查方向
解题思路
先根据抛物线与x轴的交点求出b的值,后利用离心率求出a的值;
易错点
不知道抛物线与x轴的交点即为b的值;
正确答案
(2)
解析
(Ⅱ)因为



设直线









由
化简得



考查方向
解题思路
设出直线

易错点
不会转化
6.已知点



正确答案
解析
如图:注意点Q的位置
根据题意得知
选C
考查方向
解题思路
1)把
2)利用不等式的性质直接得出结果
易错点
主要易错于
知识点
10.双曲线

正确答案
解析
由题意可知,双曲线的一个渐近线方程为:



考查方向
解题思路
先求出渐近线方程,代入抛物线方程,从而推出a和c的关系。
易错点
计算能力差
知识点
扫码查看完整答案与解析




















































