- 直线、圆及圆锥曲线的交汇问题
- 共263题
14. 已知双曲线





正确答案
解析
设双曲线的离心率为e,

考查方向
解题思路
先由题意及双曲线的定义,可得

易错点
利用焦半径公式易出错,寻找a,b,c关系时找不到突破口
知识点
如图所示,椭圆C1:+=1(a>b>0)的离心率为,x轴被曲线C2:y=x2-b截得的线段长等于C1的短轴长.C2与y轴的交点为M,过坐标原点O的直线l与C2相交于点A,B,直线MA,MB分别与C1相交于点D,E.
24.求C1,C2的方程
25.求证:MA⊥MB;
26. 记△MAB,△MDE的面积分别为S1,S2,若=λ,求λ的取值范围.
正确答案
C1的方程:+y2=1;C2的方程:y=x2-1
解析
由题意,知=,所以a2=2b2. ……1分
又2=2b,得b=1. ……2分
所以曲线C2的方程:y=x2-1,椭圆C1的方程:+y2=1. ……3分
考查方向
主要考查直线与圆锥曲线的综合应用能力,具体涉及到抛物线的方程,椭圆的方程,直线与圆锥曲线的相关知识. 本小题对考生的化归与转化思想、运算求解能力都有很高要求.
解题思路
根据题意直接列出a,b,c方程, 可求出两条曲线的方程
易错点
易在运算中出错,在转化直线与圆锥曲线关系过程中,易在切入点出错
正确答案
略
解析
证明 设直线AB:y=kx,A(x1,y1),B(x2,y2),由题意,知M(0,-1).
则⇒x2-kx-1=0, ……4分
则x1·x2=-1,x1+x2=k,

所以MA⊥MB. ……7分
考查方向
解题思路
设直线方程、交点坐标. 通过向量的数量积等于零, 证明两条线互相垂直
易错点
易在运算中出错,在转化直线与圆锥曲线关系过程中,易在切入点出错
正确答案
[,+∞)
解析
解: 设直线MA的方程:y=k1x-1,直线MB的方程:y=k2x-1,……8分
由25题知k1k2=-1,M(0,-1),
由解得或 ……9分
所以A(k1,k-1).同理,可得B(k2,k-1).……10分
故S1=|MA|·|MB|=·|k1||k2|.
由解得或
所以D(,).同理,可得E(,).……11分
故S2=|MD|·|ME|=·,
=λ==≥,……13分
则λ的取值范围是[,+∞).……14分
考查方向
主要考查直线与圆锥曲线的综合应用能力,具体涉及到抛物线的方程,椭圆的方程,直线与圆锥曲线的相关知识. 本小题对考生的化归与转化思想、运算求解能力都有很高要求.
解题思路
设MA,MB的方程,通过与抛物线,椭圆联立方程组,解出A,B,D,E的坐标,然后分别用



易错点
易在运算中出错,在转化直线与圆锥曲线关系过程中,易在切入点出错
已知抛物线









23.求
24.若圆




正确答案
(1)抛物线

解析
试题分析: 本题属于抛物线、直线、圆的方程及位置关系考查题型,意在考查考生的分析问题、解决问题的能力及运算能力。
(Ⅰ)设

又∵以


∴




考查方向
解题思路
(1)直线








(2)通过直线

易错点
以


正确答案
(2)直线

圆
解析
试题分析: 本题属于抛物线、直线、圆的方程及位置关系考查题型,意在考查考生的分析问题、解决问题的能力及运算能力。
(Ⅱ)设直线


化简整理得
∴


∴圆心

∵圆


∴
∴

此时直线


圆心

圆

考查方向
解题思路
(1)直线








(2)通过直线

易错点
以


16.已知直线






正确答案
解析
根据椭圆参数方程设出B点坐标(acost,bsint),由
从而得出点P 
又



考查方向
解题思路
根据椭圆参数方程设出B点坐标(acost,bsint),由





易错点

知识点
6.过双曲线

正确答案
解析
由题意,得




考查方向
解题思路
根据题意求出A,B两点的坐标,由△OAB的面积为
故A选项不正确,B选项不正确,C选项不正确,所以选D选项。
易错点
对△OAB的面积的转化较繁琐而出错。
知识点
已知曲线C的方程是




23.求曲线C的方程;
24.设M(x1,y1),N(x2,y2)是曲线C上两点,且OM⊥ON,求证:直线MN恒与一个定圆相切.
正确答案
见解析
解析
解:(1)由题可得:
所以曲线

考查方向
解题思路
1)根据题意联立解方程求出曲线方程
2)写出直线方程,与曲线联立,得到韦达定理
3)根据OM⊥ON,得到x1,x2的关系
4)解出含参直线方程,得出定点
易错点
本题较简单,一般在计算出错和对OM⊥ON处理出错
正确答案
见解析
解析
解:
(2)由题得:
原点

由
所以


所以直线

考查方向
解题思路
1)根据题意联立解方程求出曲线方程
2)写出直线方程,与曲线联立,得到韦达定理
3)根据OM⊥ON,得到x1,x2的关系
4)解出含参直线方程,得出定点
易错点
本题较简单,一般在计算出错和对OM⊥ON处理出错
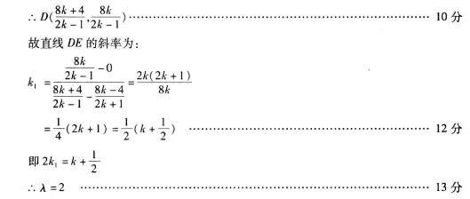
20. 如图:A,B,C是椭圆



(I)求椭圆的方程;
(II)若P是椭圆上除顶点外





正确答案
见解析
解析
考查方向
解题思路
1)点到直线的距离公式得到a,b的关系,根据点在椭圆上联立求出椭圆方程
2)设点p,根据要求求出直线AP,与直线BC求出点D
3)根据直线CP得到点E
4)使用两点间斜率公式得到DE斜率,化简得到结论
易错点
本题主要有以下几个错误:
1)椭圆方程求错
2)找不到有效突破点,导致运算量加大,无法得出理想结果
知识点
4.已知抛物线







正确答案
解析
考查方向
解题思路
根据题意, 直接用焦半径表示AF与BF的长度.
易错点
忽略直线过焦点,导致AF与BF的长度无法用3
知识点
14. 已知直线l:y=kx+t号圆:x2 +(y+l)2 =1相切且与抛物线C:x2 =4y交于不同的两点M,N,则实数t的取值范围是____.
正确答案
解析
因为直线与圆相切





考查方向
解题思路
先利用直线与圆相切找到k与t之间的关系,再通过直线与抛物线有两个不同的交点求出t的取值范围。
易错点
直线中有两个变量,如何把k转化或者求出。
知识点
已知Q为椭圆C:

23.求椭圆C的方程:
24.若直线l:y=kx+m(|k|≤
正确答案
(1)
解析
(1)因为




由题设可知

又点




①②联立解得,

故所求椭圆的方程为
考查方向
解题思路
(1)通过

易错点
线段OM的中点与线段AB的中点重合的转化
正确答案
(2)
解析
(2)设



由


由(1)-(2),得
由线段



又

把(4)(5)(6)代入(3)整理,得
于是由


所以
因为


所以


考查方向
解题思路
(1)通过

易错点
线段OM的中点与线段AB的中点重合的转化
扫码查看完整答案与解析




































