- 直线、圆及圆锥曲线的交汇问题
- 共263题
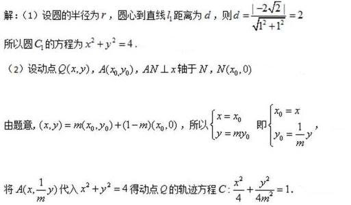
20.已知圆


(1)求圆的标准方程;
(2)设点







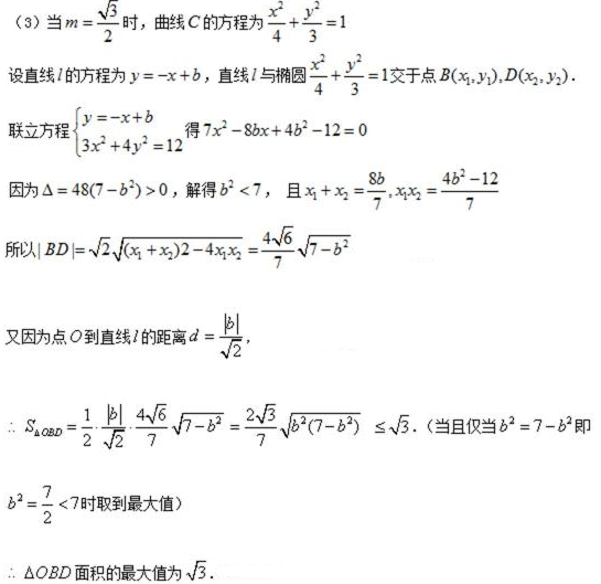
(3)在(2)的结论下,当







正确答案
解析
解析已在路上飞奔,马上就到!
知识点
20. 如图,已知定点





(1)求点
(2)若





正确答案
解析
解析已在路上飞奔,马上就到!
知识点
6.已知抛物线y2=2px(p>0)的准线与曲线x2+y2-6x-7=0相切,则p的值为( )
正确答案
解析
整理圆方程得(x-3)2+y2=16∴圆心坐标为(3,0),半径r=4∵圆与抛物线的准线相切∴圆心到抛物线准线的距离为半径,即
知识点
20.在平面直角坐标系









(1)求曲线


(2)当








①证明:四边形
②若

正确答案
解:(1)设


①当


②当


③当


④当


(2)①当




设

所以四边形
②设



解析
解析已在路上飞奔,马上就到!
知识点
21. 已知椭圆


(1)求椭圆C的方程;
(2)过点




正确答案
解析
解析已在路上飞奔,马上就到!
知识点
20.如图,椭圆C:

(Ⅰ)求椭圆C的方程;
(Ⅱ)是否存在分别以AD,AC为弦的两个相外切的等圆?若存在,求出这两个圆的圆心坐标;若不存在,请说明理由.
正确答案
(Ⅰ)解:设左焦点F的坐标为(-c,0),其中c=
∵e=


∴A(0,


∴AB:

联立解得D点的坐标为(-

∵△ADC的面积为15,∴



解得c=3,∴a=5,b=4,∴椭圆C的方程为
(Ⅱ)由(Ⅰ)知,A点的坐标为(0,4),D点的坐标为(-
假设存在这样的两个圆M与圆N,其中AD是圆M的弦,AC是圆N的弦,
则点M在线段AD的垂直平分线上,点N在线段AC的垂直平分线y=0上.
当圆M和圆N是两个相外切的等圆时,一定有A,M,N在一条直线上,且AM=AN.
∴M、N关于点A对称,设M(x1,y1),则N(-x1,8-y1),
根据点N在直线y=0上,∴y1=8.∴M(x1,8),N(-x1,0),
而点M 在线段AD的垂直平分线y-



故存在这样的两个圆,且这两个圆的圆心坐标分别为
M(-

解析
解析已在路上飞奔,马上就到!
知识点
20.已知定点

(1)求动点E的轨迹方程;
(2)设直线


正确答案
解:(1)由题知

又



(2)设
将直线



又
依题意有

由①②可得


设O到直线

当



解析
解析已在路上飞奔,马上就到!
知识点
20. 如图,已知椭圆





(Ⅰ)设直线




(Ⅱ)是否存在常数


正确答案
(Ⅰ)设

因为点P在双曲线

因此

(Ⅱ)由于PF1的方程为

得
所以
同理可得

又
故
因此,存在

解析
解析已在路上飞奔,马上就到!
知识点
20.如图,已知抛物线














(1)求圆

(2)若


(3)过直线




正确答案
解析
解析已在路上飞奔,马上就到!
知识点
20.已知椭圆



(1)求椭圆的离心率
(2)求直线AB的斜率;
(3)设点C与点A关于坐标原点对称,直线



正确答案
解: (1)解:由


整理得

(2)解:由(1)知,
设直线AB的方程为
由已知设

消去y整理,得
依题意,

有题设知,点B为线段AE的中点,所以
解得
将结果代入韦达定理中解得
(3)由(2)知,

得A


直线l与x轴的交点

直线


由



同理可得
解析
解析已在路上飞奔,马上就到!
知识点
扫码查看完整答案与解析
































