- 函数恒成立问题
- 共47题
17.若对满足



正确答案
解析
解析已在路上飞奔,马上就到!
知识点
若存在实常数













正确答案
解析
有题可知函数






知识点
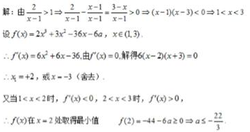
已知函数
(1)若曲线

(2)设函数


(3)对(2)中的

正确答案
见解析。
解析
(1)
由已知得

∴ 两条直线交点的坐标为

∴ 切线的方程为
(2)由条件知
∴
(ⅰ)当a>0时,令

∴ 当


当


∴



∴最小值
(ⅱ)当


故

(3)由(2)知
对任意的



故由①②③得
知识点
已知函数

①
②函数
③当



其中所有正确命题的序号是
正确答案
解析
略
知识点
已知函数

(1)若对一切


(2)在函数






正确答案
见解析
解析
(1)若



故
而
当





于是对一切

令
当



故当




综上所述,

(2)由题意知,
令
令

当



故当

从而

所以
因为函数








综上所述,存在



知识点
已知函数


正确答案
解析
特值法:令a=2与


知识点
8.对于函数






正确答案
解析
解析已在路上飞奔,马上就到!
知识点
22.对定义在


① 对任意的

② 当

已知函数


(1)试问函数

(2)若函数


(3)在(2)的条件下

正确答案
(1) 当

当

(2)若


若



由

即
因为
所以 



当


综合上述:
(3)根据(2)知: a=1,
方程为
由
得 
令
则
由图形可知:
当
当
解析
解析已在路上飞奔,马上就到!
知识点
5. 已知函数f(x)=
正确答案
解析
f(x+a)=sin(2x+2a-





知识点
17.设函数








正确答案
解析
解析已在路上飞奔,马上就到!
知识点
扫码查看完整答案与解析
















































