- 裂项相消法求和
- 共41题
11. 若

正确答案
解析
解析已在路上飞奔,马上就到!
知识点
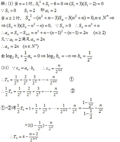
20.已知数列



(Ⅰ)求数列
(Ⅱ)设


(Ⅲ)设



正确答案
解析
解析已在路上飞奔,马上就到!
知识点
19.已知数列




(1)求数列
(2)设

正确答案
解析
解析已在路上飞奔,马上就到!
知识点
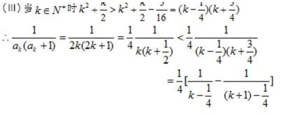
21.设各项为正数的数列






(Ⅰ)求数列

(Ⅱ)设



(Ⅲ) 证明:对一切正整数

正确答案
解析
解析已在路上飞奔,马上就到!
知识点
21.设
(1)求实数a;
(2)求数列{xn}的通项公式;
(3)若
正确答案
(1)由
解析
解析已在路上飞奔,马上就到!
知识点
16. 设等差数列{an}的前n项和为Sn,且S4=4S2,a2n=2an+1.
(Ⅰ)求数列{an}的通项公式;
(Ⅱ)证明:对一切正整数n,有
正确答案
解析
解析已在路上飞奔,马上就到!
知识点
22.已知正项数列
(I)求

(II)若
(III)若
正确答案
解析
解析已在路上飞奔,马上就到!
知识点
18.已知等差数列{an}中,首项a1=1,公差d为整数,且满足a1+3<a3,a2+5>a4,数列{bn}满足
(1)求数列{an}的通项公式an;
(2)若S2为S1,Sm(m∈N*)的等比中项,求正整数m的值.
正确答案
(1)由题意,得


又d∈Z,∴d = 2.∴an=1+(n-1)
(2)∵
∴
∵



∴

解得m=12.
解析
解析已在路上飞奔,马上就到!
知识点
19.公差不为零的等差数列



(Ⅰ)求数列

(Ⅱ)当


正确答案
解析
解析已在路上飞奔,马上就到!
知识点
7.数列1,


正确答案
解析
解析已在路上飞奔,马上就到!
知识点
扫码查看完整答案与解析





















