- 正弦式电流的峰值和有效值、平均值
- 共126题
甲晚上潜入一古寺,将寺内古墓室中有珍贵文物编号的金佛的头用钢锯锯下,销赃后获赃款10万元。对甲应以什么罪追究刑事责任
A.故意损毁文物罪
B.倒卖文物罪
C.盗窃罪
D.盗掘古文化遗址、古墓葬罪
正确答案
C
解析
根据《刑法》第264条的规定:"盗窃公私财物,数额较大或者多次盗窃的......有下列情形之一的,处无期徒刑或者死刑,并处没收财产:......(二)盗窃珍贵文物,情节严重的。"因此盗窃珍贵文物,情节严重的仍然以盗窃罪论处,因此本题的正确答案为C。
下列有关公允价值变动的账务处理,正确的有( )。
A.资产负债表日,企业应按交易性金融资产的公允价值高于其账面余额的差额,借记“交易性金融资产――公允价值变动”科目、贷记“公允价值变动损益”科目;公允价值低于其账面余额的差额做相反的会计分录
B.资产负债表日,可供出售金融资产的公允价值低于其账面价值的差额,借记“公允价值变动损益”科目,贷记“可供出售金融资产”科目
C.出售交易性金融资产时,将原计入该金融资产的公允价值变动转出,借记或贷记“公允价值变动损益”科日,贷记或借记“投资收益”科目
D.资产负债表日,长期股权投资应比较其公允价值与账面价值,若公允价值低于账面价值,则应计提减值准备
E.采用公允价值模式计量的投资性房地产,资产负债表日,投资性房地产的公允价值高于其账面余额的差额,借记“投资性房地产――公允价值变动”科目,贷记“公允价值变动损益”科目;公允价值低于其账面余额的差额做相反的会计分录
正确答案
A,C,E
解析
[解析] 选项B,资产负债表日,可供出售金融资产的公允价值低于账面价值时,如果只是公允价值的暂时性下跌,则借记“资本公积”科目,贷记“可供出售金融资产”科目,如果是非暂时性的公允价值下跌,则应进行减值测试,计提减值准备;选项D,资产负债表日,如果长期股权投资出现减值迹象,应比较其可收回金额与账面价值,若可收回金额低于账面价值,则应按差额计提减值准备。
下面哪个国家不使用间接标价法?_________
A.美国
B.新西兰
C.南非
D.中国
正确答案
D
解析
暂无解析
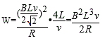
18.如图所示,将一根绝缘硬金属导线弯曲成一个完整的正弦曲线形状,它通过两个小金属环a、b与长直金属杆导通,在外力F作用下,正弦形金属线可以在杆上无摩擦滑动.杆的电阻不计,导线电阻为R,ab间距离为2L,导线组成的正弦图形顶部或底部到杆距离都是
正确答案
解析
金属导线产生的感应电动势瞬时值为e=Byv,y是有效切割长度:
得到

则线圈中产生正弦式交变电流,
其感应电动势的有效值为:
因为线圈进入和穿出磁场产生的内能相等,外力做功相等.
故导线全部穿过磁场过程,外力F所做功为
故选B
考查方向
电磁感应中的能量转化
解题思路
正弦曲线形状金属导线以恒定的速度v穿过磁场过程中,线圈中产生正弦式交变电流,求出感应电动势的最大值,再求出有效值,根据功能关系求解外力F所做的功.
易错点
交变电流求热量时,要用有效值
知识点
15.如图甲,矩形金属线框绕与磁感线垂直的转轴在匀强磁场中匀速转动,产生的交变电流经理想变压器给负载供电,原线圈两端的交变电压随时间变化的图像如图乙,电压表和电流表均为理想电表,Rt为阻值随温度升高而变小的热敏电阻,R1为定值电阻。则
正确答案
解析
A、由图可知,交流电的周期为0.02s,则转速为:
B、电压表测量的是有效值,故示数不为零,故B错误;
C、由图乙可知,当0.005s时,感应电动势为零,则此时穿过线框回路的磁通量最大,故C错误;
D、温度升高,热敏电阻阻值减小,故副线圈回路中消耗的功率
故选:A
考查方向
变压器的构造和原理;交流发电机及其产生正弦式电流的原理
解题思路
由图乙可知特殊时刻的电动势,根据电动势的特点,可判处于那个面上,由图象还可知电动势的峰值和周期,明确电压表测量的是有效值,变压器的输出功率决定输入功率
易错点
线圈在匀强磁场中匀速转动产生的是正弦式交变电流
知识点
8.如图所示,理想变压器的原、副线圈匝数比为l:5,原线圈两端的电压如图乙所示.氖 泡在两端电压达到100 V时开始发光.下列说法中正确的是
正确答案
解析
A选项,交变电流在一个周期内的焦耳热:


B选项,副线圈电压由原线圈决定,根据
C选项,理想变压器的输出功率由用户区决定,由于副线圈的电压不变,开关断开后电路的总阻值增大,干路电流减小,根据
D选项,理想变压器不改变交流电的频率,因此氖泡的发光频率等于原线圈电压的频率:
考查方向
1、考查电流有效值的计算;
2、考查变压器电压、电流、电功率与匝数的关系:
3、考查理想变压器的输入功率与输出功率的关系
4、考查理想变压器的特点:副线圈电压由原线圈决定,一般稳定不变,原线圈电流由副线圈决定,随副线圈电流增大而增大。
解题思路
1、根据电流有效值的定义:
2、根据理想变压器的特点(副线圈电压由原线圈决定,一般稳定不变,原线圈电流由副线圈决定,随副线圈电流增大而增大)判断电压变化;
3、根据理想变压器的输入功率与输出功率的关系判断输出功率的变化;
4、根据理想变压器原副线圈频率相等的特点,判断发光频率。
易错点
1、对电压表V测量的电压混淆 ;
2、对电流有效值的计算方法不熟悉;
3、对理想变压器中电压、电流的决定性模糊不清。
知识点
软件测试是软件开发中极其重要的组成内容,下述 Ⅰ.软件功能 Ⅱ.软件结构 Ⅲ.软件性能 属于软件测试应有内容的是( )。
A. Ⅰ和Ⅱ
B. Ⅰ和Ⅲ
C. Ⅱ和Ⅲ
D. 全部
正确答案
D
解析
暂无解析
根据《2000年国际贸易术语解释通则》的规定,在哪一术语中,由买方办理出口结关手续
A.FAS
B.DDP
C.DES
D.EXW
正确答案
D
解析
根据《2000年国际贸易术语解释通则》的规定,只有卖方责任最小的EXW由买方办理出口手续和卖方责任最大的 DDP由卖方办理进口手续外,各术语均是由卖方办理出口手续,买方办理进口手续:因此D项正确。
骨盆骨折合并尿道损伤和休克时,处理顺序应是
A.骨盆牵引固定、抗休克、处理尿道损伤
B.骨盆牵引固定、处理尿道损伤、抗休克
C.抗休克、处理尿道损伤、骨盆牵引固定
D.抗休克、骨盆牵引固定、处理尿道损伤
E.处理尿道损伤、骨盆牵引固定、抗休克
正确答案
C
解析
首先应处理危及病人生命的休克,其次应处理尿道损伤,改善病人的排尿困难,防止尿道损伤的进一步加重,最后处理骨盆骨折。
6.如图甲所示,交流发电机的矩形金属线圈abcd的匝数n=100,线圈的总电阻r=5.0Ω,线圈位于匀强磁场中,且线圈平面与磁场方向平行。线圈的两端分别与两个彼此绝缘的铜环E、F(集流环)焊接在一起,并通过电刷与阻值R=95Ω的定值电阻连接。现使线圈绕过bc和ad边中点、且垂直于磁场的转轴OOˊ以一定的角速度匀速转动。穿过线圈的磁通量随时间t变化的图像如图乙所示。若电路其他部分的电阻以及线圈的自感系数均可忽略不计。则下列说法中正确的是( )
正确答案
解析
A、由图知,T=π×10-2S则
B、交流发电机产生电动势的最大值Em=nBSω,而Φm=BS,

C、电动势的有效值
D、由闭合电路的欧姆定律,电路中电流的有效值为
考查方向
正弦式电流的图象和三角函数表达式;交流发电机及其产生正弦式电流的原理
解题思路
交流发电机产生电动势的最大值Em=nBSω,根据Φ-t图线得出周期T以及磁通量的最大值Φ=BS.从而求出感应电动势的最大值,交流电压表的示数为有效值,求出电动势的有效值,根据闭合电路欧姆定律求出电流表的示数.
易错点
本题的关键掌握正弦式交流电峰值的表达式Em=nBSω,从峰值的表达式中得出信息会求解交流电有效值.
知识点
扫码查看完整答案与解析















