- 双曲线及其性质
- 共445题
双曲线










正确答案
2
解析
由题可知



知识点
已知曲线








(1)求曲线
(2)直线








正确答案
(1)
解析
(1)依题意,









(2)(方法一)设直线





设直线
与
由
由韦达定理得 

将M(



将②代入①得
令


(方法二)设直线





将
两式相减得





由



由题设

即
知识点
14.如图所示,






正确答案
48
解析
设右焦点为

=
知识点
10.已知双曲线

正确答案

解析
∵双曲线的一个焦点在直线l上,
令y=0,可得x=5,即焦点坐标为(5,0),∴c=5,
∵双曲线

∴
∴双曲线的方程为

知识点
设F1、F2是双曲线
正确答案
1或17
解析
由双曲线的定义知:
知识点
已知圆锥曲线


(1)求曲线
(2)设曲线






(3)在条件(2)下,如果




正确答案
(1)
(2)
(3)m=4
解析
(1)由



故双曲线

(2)设

从而有:
(3)因为
整理得

注意到



设

又




但当
所以
知识点
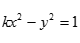
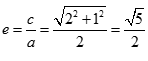
已知双曲线kx2-y2=1的一条渐近线与直线2x+y+1=0垂直,那么双曲线的离心率为_________。
正确答案
解析
设双曲线

直线2x+y+1=0的斜率为-2
∵直线
∴
∴
知识点
7.已知双曲线

正确答案
解析
双曲线

知识点
9.已知F1,F2是双曲线
正确答案
解析
依题意可知双曲线的焦点为F1(﹣c,0),F2(c,0)
∴F1F2=2c∴三角形高是



代入双曲线方程得:
所以c4﹣a2c2﹣3a2c2=4a2c2﹣4a4整理得e4﹣8e2+4=0求得e2=4±2
∴e=
知识点
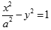
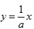
13.若双曲线E的标准方程是
正确答案
y=
解析
双曲线E的标准方程是
则a=2,b=1,
即有渐近线方程为y=
即为y=
故答案为:y=
知识点
扫码查看完整答案与解析




























