- 数列求和、数列的综合应用
- 共491题
1
题型:简答题
|
19.已知数列






(Ⅰ)求数列

(Ⅱ)设




正确答案
解析
解析已在路上飞奔,马上就到!
知识点
由递推关系式求数列的通项公式等差数列的判断与证明错位相减法求和
1
题型:简答题
|
16.已知数列


(1)求数列

(2)设数列


正确答案
解析
解析已在路上飞奔,马上就到!
知识点
由数列的前几项求通项错位相减法求和等差数列与等比数列的综合
1
题型:简答题
|
19.已知数列




(1)证明数列
(2)求通项


(3)设



正确答案
解析
解析已在路上飞奔,马上就到!
知识点
元素与集合关系的判断由递推关系式求数列的通项公式等比数列的判断与证明错位相减法求和数列与不等式的综合
1
题型:简答题
|
17. 已知数列


(1)求数列
(2)设



正确答案
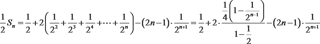
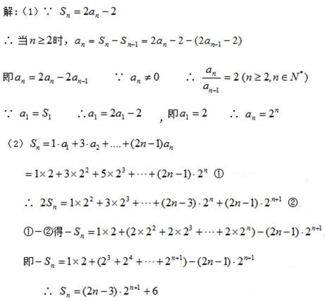
解:(1)∵
∴当

①-②得,

又∵

(2)由(1)知
∴

④-⑤得,

∴
解析
解析已在路上飞奔,马上就到!
知识点
由递推关系式求数列的通项公式错位相减法求和
1
题型:简答题
|
16.已知数列



(1)求数列
(2)记

正确答案
解析
解析已在路上飞奔,马上就到!
知识点
由an与Sn的关系求通项an错位相减法求和
1
题型:
单选题
|
6. 已知数列



正确答案
B
解析
解析已在路上飞奔,马上就到!
知识点
错位相减法求和
1
题型:简答题
|
19.数列




(1)求数列
(2)求
正确答案
解析
解析已在路上飞奔,马上就到!
知识点
由递推关系式求数列的通项公式错位相减法求和
1
题型:简答题
|
19.各项都为正数的数列{an},满足a1=1,
(1)求数列{an}的通项公式;
(2)求数列
正确答案
解析
解析已在路上飞奔,马上就到!
知识点
由递推关系式求数列的通项公式错位相减法求和
1
题型:简答题
|
19.设数列


(1)求证:数列
(2)求数列

正确答案
解析
解析已在路上飞奔,马上就到!
知识点
由an与Sn的关系求通项an等比数列的判断与证明错位相减法求和
1
题型:简答题
|
18.已知数列{an}的首项a1=1,且满足
(1)设
(2)设cn=bn·2n,求数列{cn}的前n项和Sn.
正确答案
解析
解析已在路上飞奔,马上就到!
知识点
由递推关系式求数列的通项公式等差数列的判断与证明错位相减法求和
已完结
扫码查看完整答案与解析

















