- 等差数列的性质及应用
- 共237题
1
题型:
单选题
|
6.已知等差数列




正确答案
C
解析
解析已在路上飞奔,马上就到!
知识点
等差数列的基本运算等差数列的性质及应用等差数列的前n项和及其最值
1
题型:填空题
|
12.在




正确答案
解析
解析已在路上飞奔,马上就到!
知识点
正弦定理等差数列的性质及应用
1
题型:填空题
|
13.已知等差数列





正确答案
7
解析
解析已在路上飞奔,马上就到!
知识点
等差数列的基本运算等差数列的性质及应用等差数列的前n项和及其最值
1
题型:
单选题
|
6. 若


正确答案
C
解析
解析已在路上飞奔,马上就到!
知识点
等差数列的基本运算等差数列的性质及应用等差数列的前n项和及其最值
1
题型:简答题
|
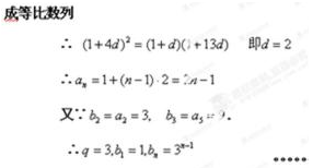
17.已知等差数列





(Ⅰ)求数列

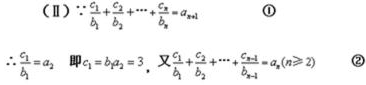
(Ⅱ)设数列





正确答案
①-②:
∴
∴
则

解析
解析已在路上飞奔,马上就到!
知识点
等差数列的性质及应用
下一知识点 : 等差数列的前n项和及其最值
扫码查看完整答案与解析












