- 抛物线的标准方程和几何性质
- 共238题
1
题型:填空题
|
科技活动后,3名辅导教师和他们所指导的3名获奖学生合影留念(每名教师只指导一名学生),要求6人排成一排,且学生要与其指导教师相邻,那么不同的站法种数是______. (用数字作答)
正确答案
48
解析
略
知识点
抛物线的标准方程和几何性质
1
题型:填空题
|
若抛物线



正确答案
8;-4
解析
略
知识点
抛物线的标准方程和几何性质
1
题型:
单选题
|
已知



正确答案
B
解析
略。
知识点
抛物线的标准方程和几何性质
1
题型:简答题
|
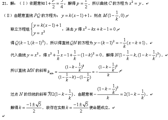
设点




(1)求曲线C的方程;
(2)若点














正确答案
见解析。
解析
知识点
抛物线的标准方程和几何性质
1
题型:填空题
|
设抛物线





正确答案
解析
略
知识点
抛物线的标准方程和几何性质
下一知识点 : 抛物线焦点弦的性质
扫码查看完整答案与解析





