- 裂项相消法求和
- 共32题
15.已知等比数列






正确答案
解析
解析已在路上飞奔,马上就到!
知识点
20.等差数列


(1)求

(2)若数列


正确答案
(1)
(2)


解析
解析已在路上飞奔,马上就到!
知识点
15.已知数列


正确答案
解析
解析已在路上飞奔,马上就到!
知识点
19.已知数列

(I)求数列
(II)设


正确答案
解析
解析已在路上飞奔,马上就到!
知识点
21.已知数列


(1)求证数列

(2)求数列





正确答案
(1)∵
∴ 

∴ 数列
∴ 
(2)∵ 
∴
∵
又
∴ 

∴ 当

要使得

结合(1)的结果,只需
∴ 正整数
解析
解析已在路上飞奔,马上就到!
知识点
19.对于数列














(Ⅰ)设数列








(Ⅱ)设数列



①若

②若

(Ⅲ)设数列











正确答案
解析
解析已在路上飞奔,马上就到!
知识点
16.已知数列




正确答案
解析








考查方向
解题思路
详见解析
易错点
不能够想到

知识点
18. 已知数列








(Ⅰ)求数列

(Ⅱ)设




正确答案
(1)


解析
试题分析:本题属于数列中的基本问题,题目的难度是逐渐由易到难.
解:(Ⅰ)由题意,得 
当

当


综上,
又

数列

(Ⅱ)

考查方向
解题思路
本题考查数列问题,解题步骤如下:
1、利用an与Sn的关系求解。
2、利用等比数列的求和公式求解。
易错点
等比数列分项时项数易错。
知识点
6.定义







正确答案
解析
由“均倒数”为

则
考查方向
本题主要考查数列的综合运算
解题思路
(1)求出an;(2)求出bn,利用裂项相消法求和,即可得到结果。A选项不正确,B选项不正确,D选项不正确,所以选C选项。
易错点
本题易在求an时发生错误。
知识点
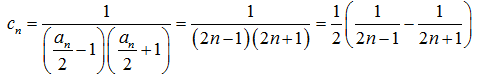
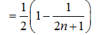
19. 设数列






(1)求证:数列

(2)令








正确答案
见解析
解析
解:(1)当


代入

而
∴数列
∴


又
(2)当



∴
故
当

若
则等式


若


∵



∴当且仅当


综上可知,当


当


考查方向
解题思路
利用

易错点
忽略n的范围的讨论。
知识点
扫码查看完整答案与解析


















































