- 随机事件的关系
- 共288题
已知高二某班学生语文与数学的学业水平测试成绩抽样统计如下表,若抽取学生n人,成绩分为A(优秀)、B(良好)、C(及格)三个等级,设x,y分别表示语文成绩与数学成绩,例如:表中语文成绩为B等级的共有20+18+4=42人,已知x与y均为B等级的概率是0.18。
(1)求抽取的学生人数;
(2)设该样本中,语文成绩优秀率是30%,求a,b值;
(3)已知
正确答案
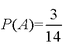
(1)100(2)17(3)
解析
解析:
(1)由题意可知
(2)由(1)知n=100,所以
而7+9+a+20+18+4+5+6+b=100,故b=17. ………………6分
(3)设“语文成绩为A等级的总人数比语文成绩为C等级的总人数少”为事件A,
由(2)易知a+b=31,且a≥10,b≥8, ………………7分
满足条件的(a,b)有
(10,21),(11,20),(12,19),(13,18), (14,17),
(15,16),(16,15
(20,11),(21,10),(22,9),(23,8),共有14组, ………………10分
其中b+11
则所求概率为

知识点

(1)写出频率分布直方图中的
(2)记甲种酸奶与乙种酸奶日销售量(单位:箱)的方差分别为



(3)假设同一组中的每个数据可用该组区间的中点值代替,试估计乙种酸奶在未来一个月(按30天计算)的销售总量.
正确答案
见解析
解析
(1)

(2)
(3)乙种酸奶平均日销售量为:

乙种酸奶未来一个月的销售总量为:
知识点
有甲、乙、丙、丁四位歌手参加比赛,其中只有一位获奖,有人走访了四位歌手,甲说:“是乙或丙获奖”,乙说:“甲、丙都未获奖”,丙说:“我获奖了”,丁说:“是乙获奖了”.四位歌手的话只有两句是对的,则获奖的歌手是 。
正确答案
答案:丙
解析
略
知识点
某高中共有
的方法从中抽取
正确答案
16
解析
略
知识点
已知函数
(1)从区间





(2)若连续掷两次骰子(骰子六个面上标注的点数分别为






正确答案
见解析
解析
解:(1)







(2)由已知:






当





当



而基本事件总数为

知识点
扫码查看完整答案与解析









