- 导数的加法与减法法则
- 共610题
1
题型:
单选题
|
5.若幂函数

正确答案
C
解析
解析已在路上飞奔,马上就到!
知识点
导数的加法与减法法则
1
题型:简答题
|
20. 已知抛物线

(Ⅰ)求抛物线C的方程;
(Ⅱ)设过点M(0,2)的直线与抛物线C交于A,B两点,且A点的横坐标为
(ⅰ)记△AOB的面积为

(ⅱ)探究是否存在不同的点A,使对应不同的△AOB的面积相等?若存在,求点A点的坐标;若不存在,请说明理由。
正确答案
解析
解析已在路上飞奔,马上就到!
知识点
导数的加法与减法法则
1
题型:填空题
|
2.条件

正确答案
-1
解析
解析已在路上飞奔,马上就到!
知识点
导数的加法与减法法则
1
题型:填空题
|
4.将函数





正确答案
解析
解析已在路上飞奔,马上就到!
知识点
导数的加法与减法法则
1
题型:简答题
|
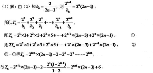
19.设





(1)求证:数列
(2)数列


(3)在满足(2)的条件下,求数列


正确答案
解析
解析已在路上飞奔,马上就到!
知识点
导数的加法与减法法则
1
题型:
单选题
|
2.已知复数z=
正确答案
D
解析
解析已在路上飞奔,马上就到!
知识点
导数的加法与减法法则
1
题型:简答题
|
17.已知关于

(1)设

(2)求
正确答案
(1)设实数解为

∴
(2)

∴
解析
解析已在路上飞奔,马上就到!
知识点
导数的加法与减法法则
1
题型:
单选题
|
8. 函数
正确答案
A
解析
解析已在路上飞奔,马上就到!
知识点
导数的加法与减法法则
1
题型:填空题
|
7.设


正确答案
解析
解析已在路上飞奔,马上就到!
知识点
导数的加法与减法法则
1
题型:填空题
|
8.图中离散点是数列



正确答案
解析
解析已在路上飞奔,马上就到!
知识点
导数的加法与减法法则
下一知识点 : 导数的乘法与除法法则
扫码查看完整答案与解析


















