- 导数的加法与减法法则
- 共610题
1
题型:
单选题
|
10.设函数




正确答案
B
解析
解析已在路上飞奔,马上就到!
知识点
导数的加法与减法法则
1
题型:简答题
|
19.公差不为零的等差数列



(Ⅰ)求数列

(Ⅱ)当


正确答案
解析
解析已在路上飞奔,马上就到!
知识点
导数的加法与减法法则
1
题型:
单选题
|
3.设点P是函数


正确答案
A
解析
解析已在路上飞奔,马上就到!
知识点
导数的加法与减法法则
1
题型:
单选题
|
6.要得到函数

正确答案
C
解析
解析已在路上飞奔,马上就到!
知识点
导数的加法与减法法则
1
题型:简答题
|
16.已知函数
(1)求
(2)设



正确答案
(1)由

故

(2)由


且α是第二象限的角, 解得



故




解析
解析已在路上飞奔,马上就到!
知识点
导数的加法与减法法则
1
题型:简答题
|
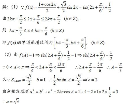
18.已知函数
(1)求
(2)在






正确答案
解析
解析已在路上飞奔,马上就到!
知识点
导数的加法与减法法则
1
题型:简答题
|
22.设数列



(I)求证:数列
(II)求数列
(III)设


正确答案
解析
解析已在路上飞奔,马上就到!
知识点
导数的加法与减法法则
1
题型:简答题
|
17.已知:



(1)若|



(2)若|





正确答案
(1)

(2)
解析
解析已在路上飞奔,马上就到!
知识点
导数的加法与减法法则
1
题型:
单选题
|
7.

正确答案
D
解析
解析已在路上飞奔,马上就到!
知识点
导数的加法与减法法则
1
题型:填空题
|
14.已知








正确答案

解析
解析已在路上飞奔,马上就到!
知识点
导数的加法与减法法则
下一知识点 : 导数的乘法与除法法则
扫码查看完整答案与解析

























