- 组合几何体的面积、体积问题
- 共98题
15.已知边长为




正确答案
解析
如图1,取BD的中点E,连AE,CE,由已知条件,面ACE垂直于面BCD,则外接球球新在面ACE内,如图2,OG垂直CE,OE垂直平分AC,其中CG=2GE,角CEA=120度,所以R=OC=OA=
所以外接球的表面积为
考查方向
四面体的结构特征,球的表面积和体积
解题思路
根据题意,求出四面体的外接球的半径,进而求出外接球的表面积
易错点
立体感不强,找不到二面角
知识点
正确答案
知识点
10. 长方体


正确答案
6
解析
如图,∵等底等高的棱锥的体积相等,
∴三棱锥A1-ABC的体积为V长方体-4VA1−ABD
所以
VA1−ABD=
所以四面体的体积为18-12=6
考查方向
棱柱、棱锥、棱台的体积
解题思路
根据等底等高的棱锥的体积相等,四面体的体积等于长方体的体积减去四个等底等高的三棱锥的体积,求出长方体的体积与其中一个三棱锥的体积,计算求得
易错点
空间感不强,计算能力弱
知识点
①当困难来临时,我们大家______妥协退让,______团结斗争②随着汹涌的洪水从上游奔泻而来,抗洪抢险委员会______组织精兵强将上堤排险,______又调派人员从邻近地区拖运固堤物质。 填入横线部分最恰当的一项是( )。
A.一边/一边 或者/或者
B.一边/一边 一方面/另一方面
C.是/还是 一方面/另一方面
D.是/还是 或者/或者
正确答案
C
解析
[解析] 本题考查对关联词的正确使用。①句中“是……还是……”表示前后分句是选择关系。②句中“一方面……另一方面……”表示前后分句是并列关系。
甲、乙双方签订的购销合同,货到付款,必须执行政府的定价,2005年3月20日合同签订时政府定价为每吨O.7万元。2005年4_月lO日政府定价为每吨0.75万元,2005年5月5日为合同履行日,此时政府定价为每吨O.8万元,乙方按期供货。2005年5月20日甲才付款,此时政府定价为每吨O.6万元,则甲应按照每吨( )付款。
A.0.6万元
B.O.7万元
C.0.8万元
D.O.75万元
正确答案
C
解析
本题考核合同的履行。根据规定,执行政府定价或者政府指导价的,在合同约定的交付期限内政府价格调整时,按照交付时的价格计价。逾期交付标的物的,遇价格上涨时,按照原价格执行;价格下降时,按照新价格执行。逾期提取标的物或者逾期付款的,遇价格上涨时,按照新价格执行;价格下降时,按照原价格执行。
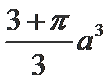
11. 某几何体的三视图如图所示,其俯视图是由一个半圆与其直径组成的图形,则此几何体的体积是____
正确答案
解析
根据三视图可知几何体是组合体:上面是半个圆锥,下面是个半圆柱,且圆锥的底面圆的半径r=2,高是2,圆柱的底面圆的半径为r=2,高是1,所以此几何体的体积为:
所以填
考查方向
由三视图求几何体的面积和体积
解题思路
根据三视图可知几何体的还原立体图,然后计算其体积
易错点
还原几何体错误,计算错误
知识点
一种汇率通常有_________位有效数字。
A.3
B.4
C.5
D.6
正确答案
C
解析
暂无解析
关于燃气泄漏处理措施不正确的是( )。
A.抵达现场发现气体泄漏后立即用手机报警
B.立即打开门窗、关闭燃气阀门
C.情况严重时,应及时疏散人员
D.如发现有受伤或不适者,应立即通知医疗急救单位
正确答案
A
解析
暂无解析
几何体的三视图如下,则它的体积是( )
正确答案
解析
故选择:A .
考查方向
考查集合体三视图的理解,三视图还原成简单集合体求体积。
解题思路
根据三视图展开想象还原成空间立体图形;再根据组成几何体的各种规则图形公式求出体积:图中的几何体的体积= 圆锥体积+正方体体积。
易错点
没有形成空间想象力,未能将三视图还原成原几何体。
教师点评
要求学生熟悉圆锥和正方体的几何,塑造学生的空间思维能力和空间想象力。
知识点
6.一个正方体被一个平面截去一部分后,剩余部分的三视图如右图,则截去部分体积与剩余部分体积的比值为( )
正确答案
解析
解析已在路上飞奔,马上就到!
知识点
扫码查看完整答案与解析
























