- 数量积表示两个向量的夹角
- 共77题
1
题型:填空题
|
由空间向量




正确答案
解析
略
知识点
数量积表示两个向量的夹角
1
题型:
单选题
|
已知非零向量




正确答案
A
解析
略
知识点
平面向量数量积的运算数量积表示两个向量的夹角
1
题型:
单选题
|
已知两不共线向量

正确答案
B
解析
略
知识点
平面向量数量积的运算数量积表示两个向量的夹角数量积判断两个平面向量的垂直关系平面向量数量积坐标表示的应用
1
题型:
单选题
|
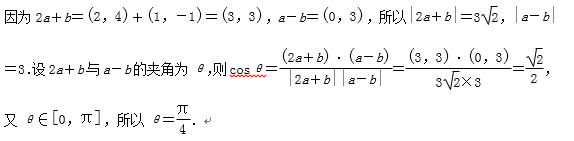
若向量a=(1,2),b=(1,-1),则2a+b与a-b的夹角等于( )
正确答案
C
解析
知识点
平面向量坐标表示的应用数量积表示两个向量的夹角
1
题型:
单选题
|
在


正确答案
A
解析
略
知识点
充要条件的判定数量积表示两个向量的夹角
1
题型:填空题
|
已知单位向量e1,e2的夹角为60°,则|2e1-e2|=________.
正确答案
解析
知识点
向量的模平面向量数量积的运算数量积表示两个向量的夹角
1
题型:
单选题
|
命题











正确答案
B
解析
命题







知识点
命题的真假判断与应用函数单调性的判断与证明数量积表示两个向量的夹角
1
题型:
单选题
|
平面向量





正确答案
C
解析
略
知识点
平面向量数量积的运算数量积表示两个向量的夹角向量在几何中的应用
1
题型:填空题
|
正确答案
(1) 
(2)
解析
知识点
数量积表示两个向量的夹角
1
题型:
单选题
|
平面向量a与b的夹角为



正确答案
A
解析
略
知识点
向量的模平面向量数量积的运算数量积表示两个向量的夹角
下一知识点 : 数量积判断两个平面向量的垂直关系
扫码查看完整答案与解析


































