- 极坐标系和平面直角坐标的区别
- 共21题
1
题型:
单选题
|
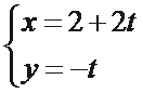
5.直线


正确答案
A
解析







考查方向
本题主要考查参数方程、普通方程和极坐标方程间的相互转化以及直线与圆的位置关系等知识,意在考查考生转化与化归的能力。
解题思路
1.先将直线的参数方程化为普通方程,后利用极坐标与直角坐标互化公式求出其极坐标方程;2.然后发现直线经过圆心,所以求出其弦长为直径。
易错点
1.方程间的相互转化出错;2.注意不到直线经过圆的圆心的条件导致运算麻烦。
知识点
极坐标系和平面直角坐标的区别
下一知识点 : 点的极坐标和直角坐标的互化
扫码查看完整答案与解析



