- 圆锥曲线的定点、定值问题
- 共61题
正确答案
略
知识点
正确答案
LUE
知识点
18. 平面直角坐标系






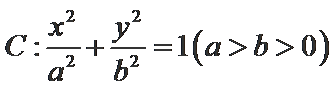
(1)求椭圆
(2)过椭圆




①设直线




②若连接





正确答案
见解析
解析
(1)由题意知



所以椭圆C的标准方程为
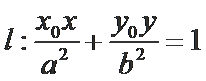
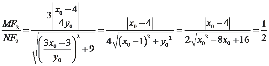
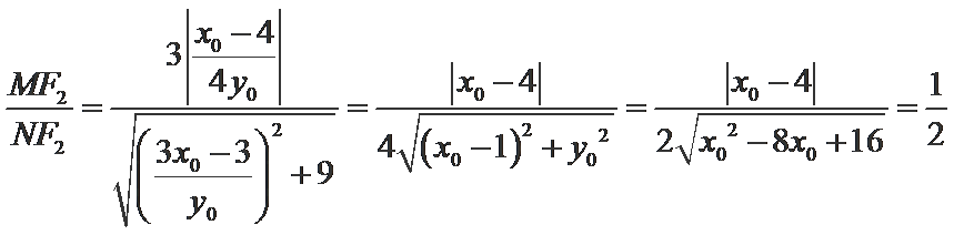
(2)①M
②点


∵

∴


∵点P在椭圆C上, ∴
∴


∵
∴
∴

考查方向
解题思路
本题考查导数的性质,解题步骤如下:
(1)根据离心率和几何特点,求出椭圆方程
(2)表示M,N进而得
(3)表示

易错点
点M,N表示不当
知识点
16. 如图,两个椭圆




(1)




(2)曲线


(3)曲线
上述判断中正确命题的个数为( )
正确答案
解析
对于(1)若点P在椭圆











考查方向
解题思路
①若点P在椭圆









易错点
分析不全面、不透彻
知识点
20.(本题满分12分)
已知椭圆








(Ⅰ)证明:直线

(Ⅱ)若






正确答案
(Ⅰ)详见解析;(Ⅱ)能,

试题分析:(Ⅰ)题中涉及弦的中点坐标问题,故可以采取“点差法”或“韦达定理”两种方法求解:设端点




(Ⅱ)根据(Ⅰ)中结论,设直线





试题(Ⅰ)设直线



将









(Ⅱ)四边形
因为直线





由(Ⅰ)得
























解析
解析已在路上飞奔,马上就到!
知识点
扫码查看完整答案与解析









