- 由递推关系式求数列的通项公式
- 共176题
1
题型:简答题
|
19. 在数列{an}中
(1) 求a3、a4,并求出数列{an}的通项公式;
(2)设

正确答案
(1)
(2)
解析
解析已在路上飞奔,马上就到!
知识点
由递推关系式求数列的通项公式
1
题型:简答题
|
18. 已知正数数列



(Ⅰ)求
(Ⅱ)求证

正确答案
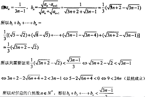
解析
解析已在路上飞奔,马上就到!
知识点
由递推关系式求数列的通项公式数列与不等式的综合
1
题型:填空题
|
9.在数列


正确答案
解析
解析已在路上飞奔,马上就到!
知识点
由递推关系式求数列的通项公式等差数列的性质及应用
1
题型:填空题
|
13.若数列


正确答案
解析
解析已在路上飞奔,马上就到!
知识点
由递推关系式求数列的通项公式
1
题型:填空题
|
15. 已知数列




正确答案
4.5,32
解析
解析已在路上飞奔,马上就到!
知识点
由递推关系式求数列的通项公式
下一知识点 : 由其它方法求数列的通项公式
扫码查看完整答案与解析







